-ADA×ÜÌ屬·¢ÂÊ£ºÖÎÁÆÔöÇ¿ºÍÖÎÁÆÒýÆðADAÑôÐÔÊÜÊÔÕßµÄ×ܺͣ¬³ýÒÔ¿ÉÆÀ¹ÀÊÜÊÔÕßµÄ×ÜÊý£¬¶øµÃ³öµÄ°Ù·Ö±È¡£²»°üÀ¨¸øÒ©ºóûÓÐÈκÎÑù±¾¹©ÆÀ¹À£¬»ùÏßÑôÐÔµÄÊÜÊÔÕß¡£
-ÖÎÁÆÒýÆðµÄADA±¬·¢ÂÊ£ºÖÎÁÆÒýÆðADAÑôÐÔÊÜÊÔÕß×ÜÊý£¬³ýÒÔ¿ÉÆÀ¹ÀµÄ£¬»ùÏßADAÒõÐÔµÄÊÜÊÔÕß×ÜÊý£¬¶øµÃ³öµÄ°Ù·Ö±È¡£±ðµÄ£¬ÐèÒª±¨¸æ´Ë×éÊÜÊÔÕߵζȵķåÖµºÍ¹æÄ££¨ÖÐλÊý¡¢IQR£©¡£
•ÖкÍÐÔADA£ºÈç¹ûÊÊÓõϰ£¬°´ÉÏÎÄËùÊöÆÊÎö±¨¸æÔ¤Ïȱ£´æµÄNAb¡¢ÔöÇ¿ºÍ±¬·¢ÂÊ¡£Èç¹ûADAÔÚËùÓÐÊÜÊÔÕßÖж¼ÊÇÖкÍÐÔADA£¬ÔòÎÞÐè×÷µ¥¶ÀµÄÆÊÎö¡£
•ADA¶¯Á¦Ñ§£ºADA·ºÆðµÄʱ»ú¼°ÆäÁ¬ÐøÊ±¼ä¹ØÓÚÁÙ´²Ò½Éú¼à²âÖÎÁƵĽøÕ¹ºÜÊÇÓÐÓ᣿¹ÌåµÄÁ¬ÐøÐÔÔÚ¼¸¸ö²¡ÀýÖÐÏÔʾÓëÁÙ´²Ð§Ó¦Ïà¹ØÁª¡£
¶ÔÒ©Î↑·¢ÈËÔ±¶øÑÔ£¬¹ØÓÚADA¶¯Á¦Ñ§ÖªÊ¶ÓÐÖúÓÚÓÅ»¯Í¬Ò»ÉúÎïÒ©ºóÐøÑо¿ÖеIJÉÑù¼Æ»®£¬ÒÔ¼°×÷ΪҩÎïÉÏÊкóÒ©Îᆵ½ä¼Æ»®µÄÒ»²¿·Ö£¬ÖúÁ¦ADA¼à²â¼Æ»®µÄÓÅ»¯¡¢Î£º¦µÄÖÎÀí»ººÍ½â¡£
ADA¶¯Á¦Ñ§µÄͼÏñÌåÏÖÊÇ×îÓÐÓõġ£ÀýÈ磬ͼ1ÖÐ˵Ã÷ÁËADA¿ªÊ¼ºÍADAÁ¬ÐøÊ±¼äµÄË«±äÁ¿Í¼£»Í¼2ÖÐËùʾΪ˲ʱ̬ÓëÁ¬ÐøÐÔADAƵÂÊͼ¡£µ±ADAÑôÐÔÊÜÊÔÕßÊýÁ¿½Ï¶à£¨ÀýÈç≥20£©£¬²¢ÇÒÑо¿Á¬ÐøÊ±¼ä×ã¹»³¤£¬×ãÒÔʶ±ðÆä·¢Óýºó³¤ÆÚÐÔ¿¹Ì壨ÀýÈç≥1Ä꣩ʱ£¬ÕâЩÀàÐ͵Äͼ±íÔ̺¬µÄÐÅÏ¢×ºñ¡£
ͼ1.ÖÎÁÆÒýÆðµÄADA¶¯Á¦Ñ§: ±¬·¢ºÍÁ¬ÐøÊ±¼ä¡£ADAÑôÐÔ½á¹ûÁ¬ÐøÊ±¼äÓëADA±¬·¢Ê±¼äµÄʾÒâͼ¡£±ÊÖ±ºÍË®Æ½Íø¸ñÏß»æÖÆÔÚÂþÑܵÄËÄ·ÖλÊý´¦£ºÕâÓÐÖúÓÚÈ·¶¨ADAµÄÁ¬ÐøÐÔ»ò˲ʱÐÔÊÇ·ñÓëÔÚ»¼ÕßÖÐÊӲ쵽ADAµÄʱ¼äÏà¹Ø¡£ÎªÁ˰ü¹ÜÆÀ¹ÀµÄ׼ȷÐÔ£¬Ö»ÓÐÄÇЩADAʼ·¢Ê±¼äÊÇÉϴλá¼ûǰÖÁÉÙ16ÖÜ£¬»òÕßÔÚÉϴλá¼ûʱ»ò֮ǰÊÇADAÒõÐԵϼÕߣ¬²ÅÓ¦ÁÐÈë´Ëͼ¡£ÔÚ½âÊÍ´ËʾÒâͼʱ£¬Ó¦ÀμÇÔÚ½ÏÍíµÄADAʼ·¢Ê±¼äµÄ×î´óÁ¬ÐøÊ±¼ä½«°´±ÈÀý¼õÉÙ¡£Í¼ÖеķûºÅ¿ÉÒÔָʾËùÑ¡ÔñµÄ±äÁ¿£¨±¾ÀýÖÐÊǼÁÁ¿£©£¬ÁÙ´²Ð§Ó¦£¬È磺¶ÔÁÆÐ§µÄÓ°Ï죨ÀýÈ磺ÊÇ£¬·ñ£¬ºÍÑо¿Öжϣ©£¬²»Á¼·´Ó¦£¨ÀýÈ磺ÊÇ£¬·ñ£¬ºÍÑо¿Öжϣ©µÈ¡£
µ±Ñù±¾Á¿×ã¹»´óʱ£¬»¹½¨Òé¶Ô½á¹û½øÐиü¶àµÄͳ¼ÆÃèÊö¡£ÕâÖֿ͹۵ÄÒªÁì¿ÉÒÔ±ÜÃâÓÉÓÚÖ÷¹ÛÆ«¼û¶øÇú½â½á¹û¡£µ«ÖµµÃ×¢ÒâµÄÊÇ£¬¹ØÓÚÑù±¾Á¿¾ÞϸµÄÆÀ¹ÀӦƾ¾Ý¾ßÌåÇé¿öÅжϣ¬Ò²ÒªÈ¡¾öÓÚÁÙ´²Ñо¿µÄÉè¼Æ¡£½¨Òé½ÓÄÉÒÔÏÂÅÌËãÒªÁ죺
£¨a£©ADAµÄʼ·¢£¨Onset£©£ºÖ¸ÔÚÑо¿ÖÐÊ״θøÒ©µ½·¢Ã÷µÚÒ»ÀýÖÎÁÆÒýÆðADAµÄʱ¼ä¶Î¡£Ê¹ÓÃʵ¼Ê¾¹ýµÄʱ¼äÊÇÅÌËã¸Ãʱ¼ä¶ÎµÄÀíÏëÑ¡Ôñ£¬²»¹ýʹÓÃ×î³õÉ趨µÄÑо¿Ê±¼ä¶ÎÒ²ÊÇ¿ÉÐеġ£ÅÌËã“ADA ·ºÆðµÄʱ¼äÖÐλֵ£¨median time to ADAdevelopment£©”ºÍËÄ·ÖλÊý Q1 ºÍ Q3£¬¿ÉÒÔ»®·ÖÓÃÀ´½âÊÍ50%¡¢25%ºÍ75%µÄADAÑôÐÔÊÜÊÔÕßµÄADAʼ·¢Ê±¼ä¡£ÆÊÎöADAʼ·¢Ïà¹ØµÄÆäËû²ÎÊý¿ÉÒÔÊÇ£º“µ½ADAʼ·¢µÄ¸øÒ©´ÎÊý"»ò "µ½ADAʼ·¢µÄÒ©Îï̻¶ÌìÊý”¡£
£¨b£©ADAµÄÁ¬ÐøÊ±¼ä£ºÖ¸Ò©ÎïÒýÆðµÄADAµÄÊÙÃü¡£ÅÌËãºÍ±¨¸æÓÕµ¼±¬·¢µÄADAÏìÓ¦µÄÖÐλÁ¬ÐøÊ±¼äºÍIQR£¬¹ØÓÚÆÀ¹ÀÆäÓëÁÙ´²Ð§¹ûµÄÏà¹ØÐÔ£¬ÊÇ×î¿Í¹ÛµÄÒªÁì¡£µ«´ó¸ÅµØ½« ADA ·ÖÀàΪ˲ʱÐÔÓëÁ¬ÐøÐÔµÄÒªÁìÕ¼Ö÷µ¼Ö°Î»¡£ËäȻûÓÐÐëҪʹÓôËÀàÊõÓï½øÐзÖÀ࣬µ«ÔÚÓ¦ÓÃÕâЩÊõÓïʱ£¬Ê¹ÓÃͳһ½ç˵¾Í±äµÃºÜÊÇÖØÒªÁË¡£ÒòΪÌìÈ»£¨ÄÚÔ´ÐÔ£©µÄÈËÀàIgG1£¬IgG2ºÍIgG4µÄ°ëË¥ÆÚԼĪÔÚ21-25Ìì×óÓÒ£¬Îå¸ö°ëË¥ÆÚԼμ´ÊÇ16ÖÜ¡£Èç¹ûADAÖ»±»Ò©ÎïÓÕµ¼±¬·¢£¬²¢ÇÒ´Óδ±»ÖØÐ´̼¤»òÔöÇ¿£¨Ò»ÖÖ"˲ʱ̬"¿¹Ì壩£¬Ëü½«ÊÜÈËÌåµÄÌìÈ»Çå³ý»úÖÆµÄÔ¼Êø¡£Òò´Ë£¬ADAÔ¤¼Æ½«ÔÚÎå¸ö°ëË¥ÆÚÖ®ºó±»ÍêÈ«Çå³ý£¨Êµ¼ÊÉÏֻʣÏÂ΢ȱ·¦µÀµÄ3%£©¡£Òò´Ë£¬¿ÉÒÔÓôËÏÖÏóÇø·Ö˲ʱÐÔ£¨ÑªÇå·µ»¹sero-reverting£©ÓëÁ¬ÐøÐÔADA£¬²¢½¨ÒéÓÃÒÔÏÂÒªÁìÀ´ÆÀ¹ÀADAµÄÁ¬ÐøÊ±¼ä:
• ˲ʱÐÔ ADA ÏìÓ¦£º
–Ò©ÎïÖÎÁÆÒýÆðµÄADAÔÚÖÎÁÆ»òºóÐøÊÓ²ìÆÚ¼äÖ»ÔÚÒ»¸ö²ÉÑùʱ¼äµã¼ì²âµ½£¨²»°üÀ¨×îºóÒ»¸ö²ÉÑùʱ¼äµã£¬³ý·ÇÔÚÖ®ºó±»Ö¤Ã÷ÎÞ·¨¼ì²âµ½£©£¬²»È»Ó¦ÊÓΪÁ¬ÐøÐԵ쬻ò£º
–Ò©ÎïÖÎÁÆÒýÆðµÄADAÔÚÖÎÁÆÆÚ¼ä£¨°üÀ¨Ëæ·ÃÆÚ£¬Èç¹ûÓеϰ£©ÓÐÁ½¸ö»òÁ½¸öÒÔÉϲÉÑùʱ¼äµã±»¼ì²âµ½£¬ÆäÖеÚÒ»¸öºÍ×îºóÒ»¸öADAÑôÐÔÑù±¾£¨ÎÞÂÛÖмäÓÐÈκÎÒõÐÔÑù±¾£©ÊÇСÓÚ16ÖܵÄʱ¼ä¶Î¼ä¸ô£¬²¢ÇÒÊÜÊÔÕßÔÚ×îºóÒ»¸ö²ÉÑùʱ¼äµãÊÇADAÒõÐÔ¡£
• Á¬ÐøÐÔ ADA ÏìÓ¦£º
–Ò©ÎïÖÎÁÆÒýÆðµÄADAÔÚÖÎÁÆÆÚ¼ä£¨°üÀ¨Ëæ·ÃÆÚ£©ÓÐÁ½¸ö»òÁ½¸öÒÔÉϲÉÑùʱ¼äµã±»¼ì²âµ½£¬ÆäÖеÚÒ»¸öºÍ×îºóÒ»¸öADAÑôÐÔÑù±¾£¨ÎÞÂÛÖмäÓÐÈκÎÒõÐÔÑù±¾£©¼ä¸ôÓÐ16ÖÜ»ò¸ü³¤£¬»ò£º
–Ò©ÎïÖÎÁÆÒýÆðµÄADA±¬·¢ÂʽöÔÚÖÎÁÆÑо¿ÆÚµÄ×îºóÒ»¸ö²ÉÑùʱ¼äµã£¬»òÕßÓëÉÏÒ»¸öADAÒõÐԵļä¸ô²»µ½16ÖܵIJÉÑùʱ¼äµã¡£ËäÈ»ºÜÉÙ¼û£¬µ«Èç¹ûIgG3»òIgAµÄADAÔÚÑо¿ÈËȺÖÐÕ¼Ö÷µ¼Ö°Î»£¬ÔòÓ¦ÓÃ5ÖÜ£¨¶ø²»ÊÇ16ÖÜ£©µÄʱ¼ä¶ÎÀ´ÐÞ¸Ä˲ʱÐÔºÍÁ¬ÐøÐÔADAµÄ½ç˵¡£ÕâÊÇÒòΪIgG3ºÍIgAµÄ°ëË¥ÆÚ±ÈÆäËûIgG¶Ì£¨IgG3Ϊ7Ì죬IgMºÍIgAΪ5Ì죩¡£
Çë×¢Ò⣬ÖÎÁÆÔöÇ¿µÄADA±»ÅųýÔÚADA¶¯Á¦Ñ§ÆÊÎöÖ®Í⣬ÒòΪÕâÖÖÀàÐ͵ÄÃâÒß·´Ó¦ÔÚ»úÖÆÉÏÓÐËù²î±ð¡£ÔÚÔ¤Ïȱ£´æµÄADAºÜÊÇÆÕ±éµÄÇé¿öÏ£¬µ¥¶ÀÃèÊöÔöÇ¿ADAµÄ¶¯Á¦Ñ§¿ÉÄܺÜÓÐÓá£Õâʱ£¬ÎÞÐ轫ADAÏìÓ¦·ÖΪ˲ʱÐÔ£¨transient£©ºÍÁ¬ÐøÐÔÏìÓ¦¡£ÅÌËãADAµÄÖÐλÁ¬ÐøÊ±¼äºÍËÄ·ÖλÊý£¨Q1ºÍQ3£©ºó¾Í¿ÉÒÔ»®·ÖÃèÊö50%¡¢25%ºÍ75%µÄADAÑôÐÔÊÜÊÔÕßµÄADAÁ¬ÐøÊ±¼ä¡£ËÄ·ÖλÊýÒªÁì¿ÉÒÔ¸üºÃµØÆÊÎöADAÁ¬ÐøÊ±¼äÓëÁÙ´²Ð§Ó¦Ö®¼äµÄ¹ØÏµ£¨Èç¹ûÓеϰ£©¡£×îºóÒ»µã£¬½«Ë²Ê±ÐÔºÍÁ¬ÐøÐÔ¿¹Ìå»®·Ö½ç˵ΪÔÚÑо¿½áÊøÇ°ÏûʧºÍÔÚ×îºóÑо¿Ê±¼äµãÈÔÈ»±£´æµÄ¿¹Ì壬ÊDz»Ì«ºÏÊʵģ¬ÕâÊÇÒòΪ˲ʱÐÔºÍÁ¬ÐøÐÔADAµÄ½ç˵½«È¡¾öÓÚÁÙ´²Ñо¿µÄ³¤¶È£¬¶ø²¢·ÇADAʵ¼ÊÁ¬ÐøµÄʱ¼ä¡£Èç¹ûʹÓÃÕâÑùµÄ½ç˵£¬½Ï³¤µÄÁÙ´²Ñо¿»á½«ADAµÄÐÔÖÊÆ«ÆÄµØÅжÏΪ"˲ʱÐÔ¿¹Ìå"¡£
• NAb ±¬·¢ÂʺͶ¯Á¦Ñ§£º
µ±Ñо¿½á¹û±êÃ÷£ºÊÜÊÔÕß¿ÉÒÔÆ¾¾ÝËûÃÇÊÇ·ñÓµÓÐNAbÓënon-NAb ¶ø·Ö×éʱ£¬¿ÉÒÔÔËÓÃÉÏÎÄËùÊö·½·¨£¬»®·ÖÏêϸ¿¼²ìÿ¸ö×éNAbµÄ±¬·¢ÂʺͶ¯Á¦Ñ§¡£
• ½»²æ·´Ó¦ÐÔ£º
µ±ÉúÎïÒ©Îï·Ö×ÓÓëÄÚÔ´ÐÔÂѰף¨È«²¿»ò²¿·Ö£©Ïàͬ»òÏÕЩÏàͬʱ£¬ÆÀ¹ÀADAÓëÄÚÔ´ÐÔÂѰ׵Ľ»²æ·´Ó¦ÐÔºÜÊÇÖØÒª£¬ÒòΪÈËÃÇÔ½À´Ô½µ£ÐÄÕâÖÖADA¿ÉÄܵ¼ÖÂÒÔÄÚÔ´ÐÔÂѰ×Öʺľ¡ÎªÌØÕ÷µÄ×ÔÉíÃâÒßÐÔ×ÛºÏÕ÷¡£½«¾ßÓн»²æ·´Ó¦ÐÔµÄADAºÍ¶ÔÒ©Îï·Ö×ÓµÄADAµÎ¶ÈºÍ¶¯Á¦Ñ§½øÐбȽϻáÓÐÖúÓÚÆÀ¹ÀÏà¹Ø¼²²¡µÄ¶ñ»¯¡£
ͼ2.ÖÎÁÆÒýÆðµÄADA±¬·¢¶¯Á¦Ñ§: Ò»¸öÑо¿ÊµÀýÖеÄ˲ʱºÍÁ¬ÐøADAÃâÒß·´Ó¦µÄÉú³¤¡£Ã¿Ò»µãÌåÏÖÔÚËùʾ·¢²¡Ê±¼ä·ºÆðADAµÄÊÜÊÔÕߵİٷֱȣ¬ÆäÁ¬ÐøÊ±¼ä¿ÉÄÜÊǶÌÔݵĻò³¤ÆÚµÄ¡£ÔÚ´ËʾÀýÖУ¬10%µÄÊÜÊÔÕßÓÐ 2¸öÔµÄADAʼ·¢Ê±¼ä£¬ÆäÖÐ4%¾ßÓÐ˲ʱÐÔADAÏìÓ¦£¬6%¾ßÓÐÁ¬ÐøÐÔ ADAÏìÓ¦¡£ÀàËÆµÄ£¬ÔÚ6¸öÔµÄADAʼ·¢Ê±¼ä£¬0.5%ÓÐ˲̬ADAÏìÓ¦£¬5.5%ÓÐÁ¬ÐøµÄADAÏìÓ¦¡£¸ÃͼµÄºáÖáÒ²¿ÉÒÔʹÓüÁÁ¿¡£
¿ÉÒÔʹÓÃÌæ´úÒªÁìÃèÊöÕâЩADAµÄÊôÐÔ¡£¿ÉÊÇÐè×¢ÒâµÄÊÇ£¬Ö÷¹ÛÐÔµÄÊõÓïÓ¦¸ÃÖÆÖ¹£¬ÒòΪËüÃÇ¿ÉÄܱ»¹ýʧµØ½âÊÍΪÌåÏÖÓëÁÙ´²Ð§Ó¦Ä³ÖÖˮƽµÄ¹ØÁªÐÔ¡£ÀýÈ磬ADAÑôÐÔÈËȺµÄµÎ¶È¿ÉÒÔ±¨¸æÎªÖÐλÊýºÍËÄ·ÖλÊý¹æÄ££¨IQR£©£¬µ«²»ÒËʹÓÃÖîÈ瓸ߔ»ò“µÍ”µÈ´ÊÓÒòΪÈËÃÇ¿ÉÄܹýʧµØÈÏΪ¸ßµÎ¶ÈµÄ¿¹ÌåÓëÁÙ´²Ð§Ó¦Ïà¹Ø£¨¼´ÒýÆð²»Á¼Ê¼þ£©£¬¶øµÍµÎ¶ÈµÄ¿¹ÌåÔò²»»á£¨¼´Á¼ÐÔ£©¡£
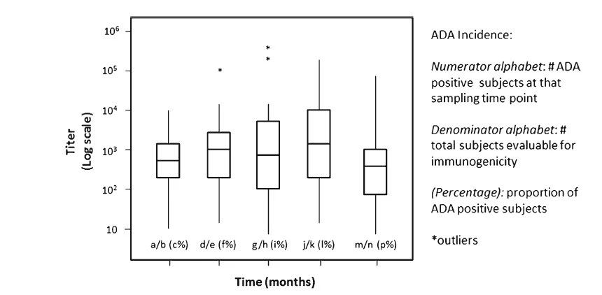
ͼ3.ADAµÎ¶È¶¯Á¦Ñ§¡£Ñо¿ÖÐËæÊ±¼ä±ä¸ïµÄÕâÖֵζÈͼÓÐÖúÓÚÈ·¶¨ADAˮƽÔÚÖÎÁÆÀú³ÌÖÐÊÇ·ñËæÊ±¼ä¶ø±ä¸ï¡£Ã¿¸ö¿òͼÌåÏֵζȹæÄ£¡¢Q1¡¢ÖÐλÊý£¨Q2£©¡¢Q3£¬²»°üÀ¨Òì³£Öµ£¨ÐDZ꣩¡£

ADAÊý¾Ý¿ÉÒÔ×ÃÇéÒÔ±í¸ñ¡¢Îı¾»òͼÏñµÈÐÎʽÏÔʾ¡£ÆäÖУ¬ÒÔ±í¸ñÐÎʽÌṩÔʼÊý¾Ý¿ÉÒÔ×ÊÖú¼à¹Ü»ú¹¹Äܹ»½øÐжÀÁ¢µÄÆÊÎö£¬ÒÔÑéÖ¤ËùÌá½»µÄ½á¹û¡£µ±ÔÚ±í¸ñÖÐÌṩÑùÌìÖ°Îö½á¹ûʱ£¬×îºÃ°üÀ¨£ºÊÜÊÔÕßʶÓÖÃû¡¢ÁÙ´²Õ¾µãʶÓÖÃû£¨ÐÕÃû»ò±àºÅ£©¡¢¼Æ»®µÄËæ·Ã»ò¸øÒ©»á¼û£¨Ô¤×¼Ê±¼äµã£©¡¢¸øÒ©¼ÁÁ¿/ƵÂÊ¡¢Ñù±¾ÊÕÂÞÈÕÆÚ£¨Êµ¼Êʱ¼äµã£©¡¢²â¶¨µÄÒ©ÎïѪÇåŨ¶È¡¢Ñù±¾ADAµÄ״̬ºÍµÎ¶È¡¢ÖкÍÄÜÁ¦×´Ì¬µÈ¡£ADAÑôÐÔÊÜÊÔÕßÊýÁ¿ºÜÉÙµÄÑо¿¿ÉÄÜ»áÏÞÖÆÄ³Ð©Êý¾ÝÆÊÎöµÄ½øÐС£
×ܽáÓëǰհ
´ËÎÄΪ±¾¡¶ÂѰ×ÖʺͶàëÄÒ©ÎïÁÙ´²ÃâÒßÔÐÔµÄÆÀ¹ÀºÍ±¨¸æ¡·ÏµÁеĵÚһƪ£¬°üÀ¨Ïà¹Ø½ç˵ºÍÊõÓï¡¢ADAÃâÒß·´Ó¦µÄÌØµãÒÔ¼°ÆäÁÙ´²Ïà¹ØÐÔÆÊÎö¡£ºóÐøÎÄÕ½«Éæ¼°ADA״̬ÓëPK/PD£¬ÁÙ´²Äþ¾²ÐÔºÍÁÆÐ§µÄ¹ØÏµ¡£
ÌØ±ðÉùÃ÷
±¾ÎÄÈçÓÐÊ詺ÍÎó¶ÁÏà¹ØÖ¸ÄϺÍÊý¾ÝµÄµØ·½£¬Çë¶ÁÕ߯ÀÂÛºÍÖ¸Õý¡£ËùÓÐÒýÓõÄÔʼÐÅÏ¢ºÍ×ÊÁϾùÀ´×ÔÒѾÐû²¼Ñ§ÊõÆÚ¿¯¡¢¹Ù·½ÍøÂ籨µÀµÈ¹ûÕæÇþµÀ£¬²»Éæ¼°Èκα£ÃÜÐÅÏ¢¡£²Î¿¼ÎÄÏ×µÄÑ¡Ôñ¿¼Âǵ½¶àÑù»¯µ«Ò²²»¿ÉÄÜÍ걸¡£½Ó´ý¶ÁÕßÌṩÓмÛÖµµÄÎÄÏ×¼°ÆäÆÀ¹À¡£
²Î ¿¼ ÎÄ Ï×
1. Guidance for industry: immunogenicityassessment for therapeutic protein products. In: U.S. Department of Health andHuman Services (DHHS), Food and Drug Administration (FDA), Center for DrugEvaluation and Research (CDER), Center for Biologics Evaluation and Research(CBER).http://www.fda.gov/downloads/Drugs/GuidanceComplianceRegulatoryInformation/Guidances/UCM338856.pdf2013.Accessed 18 Mar 2014.
2. Shankar G, et al. Assessment andreporting of the clinical immunogenicity of therapeutic proteins and peptides –harmonized terminology and tactical recommendations. AAPS J. 16(4), 658–673(2014).
3. Mire-Sluis AR, et al.immunoassays used in the detection ofhost antibodies against biotechnology products. J. Immunol. Methods 289, 1–16 (2004).
4. Shankar G, et al. Recommendations forthe validation of immunoassays used for detection of host antibodies against biotechnologyproducts. J. Pharm. Biomed. Anal. 48(5), 1267–81 (2008).
5. Smith HW, Moxness M, Marsden R. Summaryof confirmation cut point discussions. AAPS J. 13(2), 227–229 (2011).
6. Swanson JS, Chirmule N. Assessingspecificity for immunogenicity assays. Bioanalysis 1(3), 611–7 (2009).
7. Schellekens H. Bioequivalence and theimmunogenicity of biopharmaceuticals. Nat Rev Drug Discov. 2002;1(6):457–62.
8. Kuus-Reichel K, et al. Willimmunogenicity limit the use, efficacy, and future development of therapeuticmonoclonal antibodies? Clin Diagn Lab Immunol. 1994;1(4):365–72.
9. Koren E, Zuckerman LA, Mire-Sluis AR.Immune responses to therapeutic proteins in humans—clinical significance,assessment and prediction. Curr Pharm Biotechnol. 2002;3(4):349–60.
10. Schellekens H, Casadevall N.Immunogenicity of recombinant human proteins: causes and consequences. JNeurol. 2004;251 Suppl 2:II4–9. doi:10.1007/s00415-004-1202-9.
11. Wolbink GJ, Aarden LA, Dijkmans BA.Dealing with immunogenicity of biologicals: assessment and clinical relevance.Curr Opin Rheumatol. 2009;21(3):211–5.
12. Yanai H, Hanauer SB. Assessing responseand loss of response to biological therapies in IBD. Am J Gastroenterol. 2011;106(4):685–98.
13. Casadevall N, et al. Pure red-cellaplasia and antierythropoietin antibodies in patients treated with recombinanterythropoietin. N Engl J Med. 2002;346(7):469–75.
14. Macdougall IC. Antibody-mediated purered cell aplasia (PRCA): epidemiology, immunogenicity and risks. Nephrol DialTransplant. 2005;20 Suppl 4:iv9–iv15.
15. Schellekens H. Immunogenicity oftherapeutic proteins: clinical implications and future prospects. Clin Ther.2002;24(11):1720–40.
16. Shankar G, Pendley C, Stein KE. Arisk-based bioanalytical strategy for the assessment of antibody immuneresponses against biological drugs. Nat Biotechnol. 2007;25(5):555–561.
17. Koren E, Smith HW, Shores E, Shankar G,Finco-Kent D, Rup B, et al. Recommendations on risk-based strategies fordetection and characterization of antibodies against biotechnology products. JImmunol Methods. 2008;333(1–2):1–9.
18. Ponce R, et al. Immunogenicity ofbiologically-derived therapeutics: assessment and interpretation of nonclinicalsafety studies. Regul Toxicol Pharmacol. 2009;54(2):164–182.
19. Jahn EM, Schneider CK. How tosystematically evaluate immunogenicity of therapeutic proteins—regulatoryconsiderations. New Biotechnol. 2009;25(5):280–286.
20. Shankar G, Devanarayan V, Amaravadi L,Barrett YC, Bowsher R, Finco-Kent D, et al. Recommendations for the validationof immunoassays used for detection of host antibodies against biotechnology products.J Pharm Biomed Anal. 2008;48(5):1267–1281.
21. Buttel IC, et al. Taking immunogenicityassessment of therapeutic proteins to the next level. Biologicals.2011;39(2):100–109.
22. Wang YM, Fang L, Zhou L, Wang J, Ahn HY.A survey of applications of biological products for drug interference ofimmunogenicity assays. Pharm Res. 2012;29(12):3384–3392.
23. Male C, et al. Predictive value ofpersistent versus transient antiphospholipid antibody subtypes for the risk ofthrombotic events in pediatric patients with systemic lupus erythematosus.Blood. 2005;106(13):4152–4158.
24. Chirmule N, Jawa V, Meibohm B.Immunogenicity to therapeutic proteins: impact on PK/PD and efficacy. AAPSJ.2012;14(2):296–302.
¹ØÓÚ1066VIPÍþÄá˹ҽҩ ÁÙ´²Ñо¿Ð§ÀÍ£º
1066VIPÍþÄá˹ҽҩӵÓÐÒ»Ö§¹æÄ£ÅÓ´ó¡¢×¨Òµ³ÉÊìµÄÁÙ´²Ñо¿²½¶Ó£¬¿ÉÌṩ°üÀ¨Ò½Ñ§¡¢ÏîÄ¿ÖÎÀí¡¢¼à²é¡¢»ü²ì¡¢Êý¾ÝÖÎÀíºÍͳ¼ÆÆÊÎö¡¢ÉúÎïÑù±¾¼ì²âÔÚÄÚµÄÁÙ´²ÊÔÑéÈ«Á÷³Ì½â¾ö¼Æ»®¡£½ØÖÁ2020Ä꣬1066VIPÍþÄá˹ҽҩЧÀ͵Ŀͻ§³¬1000¼Ò£¬Íê³É800¶àÏîÁÙ´²ÊÔÑéÏîÄ¿£¬ÖúÁ¦¿Í»§»ñµÃÐÂÒ©Ö¤Êé60¶àÏî¡¢Éú²úÅú¼þÁè¼Ý80Ïî¡£ÔÚÓи»ºñµÄÁÙ´²ÊÔÑéЧÀ;Ñ飬ЧÀÍÏîÄ¿º¸ÇÁÙ´²Ñо¿¸÷¸öÁìÓò£¬ÔÚÖ×Áö¡¢¸Î²¡¡¢Ïû»¯µÈÁ¢ÒìÒ©ÁìÓòÓµÓÐÆæÌصÄÁÙ´²Ð§ÀÍÌåϵ¡£
1066VIPÍþÄá˹ҽҩÔÚÈ«¹úÉèÓÐ40¶à¸öÁÙ´²¼à²éÍøµã£¬ÓëÈ«¹ú½ü600¸öÁÙ´²ÊÔÑé»ú¹¹Õ¹¿ªÏàÖú£¬²¢ÔËÓÃORACLE OC/RDC¼°CTMSϵͳ£¬¿ØÖÆÁÙ´²Êý¾ÝÊÕÂÞµÄʵʱÐÔ¡¢ÖÎÀíÁÙ´²ÊÔÑéÀú³ÌµÄ¹æ·¶ÐÔ¡£