ÉÏÖÜ£¬¡°Ô¬À´Èç´Ë¡±×¨À¸¾Í´ó·Ö×ÓÉúÎïÆÊÎöÒªÁìµÄУ׼ÇúÏßµÄÉè¼Æ¡¢Éú³ÉºÍ±à¼µÄ˼¿¼ºÍ½¨ÒéÕ¹¿ªÁËÏêϸ½éÉÜ£¨Ô¬À´Èç´Ë£ü´ó·Ö×ÓÉúÎïÆÊÎö¸ÅÂÛ£¨ËÄ_ÉÏ£©£ºÐ£×¼ÇúÏßµÄÉè¼Æ£¬Éú³ÉºÍ±à¼£©£¬±¾ÆÚ½«ÑÓÐøÉÏÆÚÄÚÈÝ£¬Öصã½éÉÜ´ó·Ö×ÓÉúÎïÆÊÎöÒªÁìУ׼ÇúÏßÄâºÏÄ£ÐͺÍÈ¨ÖØ½øÐÐÈ¡ÉáµÄÒªÁì¡£
±¾ÏµÁÐÎÄÕ½éÉܵÄÉúÎïÆÊÎöÊÇÖ¸¶¨Á¿µØ²â¶¨ÔÚ¶¯ÎïºÍÈËÌåÌåÒº»ò×éÖ¯ÖеÄÉúÎïÒ©£¨±¾ÎÄÌØÖ¸ÂѰ×ÖÊÀàÉúÎïÒ©£¬°üÀ¨µ¥¿¹£¬Ï¸°ûÒò×Ó£¬Éú³¤ËØ£¬ÈÚºÏÂѰ׵ȣ©µÄŨ¶È¡£´ó´ó¶¼ÉúÎïÆÊÎöÒªÁì¶¼»ùÓÚÃâÒß²âÊÔÒªÁ죨Immunoassays£©£¬»òÕ߸ü¹ãÒ嵨³ÆÎª£¬ÅäÌå½áºÏʽ²âÊÔÒªÁ죨ligand binding assays, LBA£©¡£ÕâЩҪÁìÉæ¼°Ò»ÏµÁÐÊÔ¼ÁµÄʹÓã¬È翹ҩÎÌ壬ÆäËü¿¹Ì壬ÉúÎïÒ©µÄ°Ð±êÂѰ׵ȡ£
ÅäÌå½áºÏʽ²âÊÔÒªÁ죨LBA£¬Ò²³ÆÎªimmunoassays£©ÊÇÒ»ÖÖ³£Óõ͍Á¿ÆÊÎö¹¤¾ß¡£ÔÚLBAÒªÁìÖУ¬´ý²âÎïŨ¶ÈÓëÏìÓ¦Êý¾ÝÖ®¼äµÄ¹ØÏµÊÇÖÊÁ¿×÷Óö¨ÂÉÇý¶¯µÄ·ÇÏßÐÔ¹ØÏµ£¬Á½¸ö±»¹ã·º½ÓÊܺ;¹ýÑéÖ¤µÄLBAУ׼ÇúÏߵĻعéÄ£ÐÍÊÇ4²ÎÊýlogistic£¨4PL£©ºÍ5²ÎÊýlogistic£¨5PL£©ÇúÏßÄâºÏÄ£ÐÍ¡£Ñ¡ÔñÊʵ±µÄ»Ø¹éÄ£ÐͺÍÈ¨ÖØº¯ÊýÊÇLBAÒªÁ쿪·¢µÄÒªº¦×é³É²¿·Ö¡£
ÔÚÆÊÎöÒªÁ쿪·¢ÆÚ¼ä£¬Ó¦¶ÔÑ¡¶¨µÄÄ£ÐͺÍÈ¨ÖØº¯Êý½øÐÐÆÀ¹À£¬²¢ÔÚÑéÖ¤ÆÚ¼ä¼ÓÒÔÈ·ÈÏ¡£¹ØÓÚÈ·¶¨»òÑ¡ÔñÊʵ±µÄ»Ø¹éÄ£ÐͺÍÈ¨ÖØº¯ÊýµÄʵ¼Ê²Ù×÷ÒªÁ죬ÔÚÒÑÐû²¼µÄÎÄÏ×ÖÐÆÄΪÓÐÏÞ£¬±¾ÎĽ«Ìá³öÒ»¸ö½á¹¹»¯µÄ¡¢ÓÐÐòµÄ¼Æ»®À´È·¶¨Á½Õß¡£
ÔÚLBAÖÐÊӲ쵽µÄʵÑéÏìÓ¦ÊÇÒ»¸öÅäÌ壨´ý²âÎºÍ¼ì²âϵͳÖÐʹÓõÄÌØ¶¨²¶»ñ/¼ì²âÊÔ¼ÁµÄƽºâ½áºÏµÄ½á¹û¡£ÊµÑéÏìÓ¦Óë¶ÔÊý±ä»»ºóŨ¶ÈÖ®¼äµÄÕâÖÖ¹ØÏµÊÇ·ÇÏßÐԵģ¬Ê¹µÃµä·¶µÄLBAУ׼ÇúÏßΪȫ²¿»ò²¿·ÖµÄSÐÍ£¨sigmoidal£©¡£³£¼ûµÄ·ÇÏßÐԻعéÄ£ÐÍΪ4PLºÍ5PL£¬ÄâºÏÄ£Ð͵ÄÑ¡Ôñ¿ÉÄÜÓÉÇúÏßµÄÐÎ×´ËùÇý¶¯¡£ÍêÈ«µÄ sigmoidalÇúÏߣ¨ÆäÖж¥²¿ºÍµ×²¿Æ½Ì¨ÇøÊǾµÏñ£©Í¨³£Ê¹ÓÃ4PL Ä£ÐÍ¡£²¿·ÖsigmoidalÇúÏߣ¬¼´·Ç¶Ô³ÆÇúÏߣ¬Í¨³£Ê¹ÓÃ5PLÄ£ÐÍ£¨4PL¡¢5PLÄ£ÐÍÏêϸ½â¶ÁÇë´Á¡¶Ô¬À´Èç´Ë£ü´ó·Ö×ÓÉúÎïÆÊÎö¸ÅÂÛ£¨ËÄ_ÉÏ£©£ºÐ£×¼ÇúÏßµÄÉè¼Æ£¬Éú³ÉºÍ±à¼¡·£©¡£
ÓÉÓÚLBAÖÐÅäÌ寽ºâ½áºÏ£¨equilibrium binding£©µÄÌØÐÔ£¬¾³£»áÊӲ쵽²âÊÔÏìÓ¦µÄ·Çºã¶¨µÄ·½²î£¨non-constant variance of response£©£¬ÕâÖÖ²»µÈͬ·½²î³ÆÎªÒì·½²îÐÔ£¨heteroscedasticity£©¡£Èç¹ûÔÚÇúÏßÄâÊÊʱ²»¿¼ÂÇÓ¦¶ÔÒì·½²îÐÔ£¬Ôò¿ÉÄܵ¼ÖÂ×îÖÕ½á¹ûÖзºÆð»ØËã¹ýʧºÍ¸ü´óµÄÆ«²î¡£ÎªÁ˼õÉÙÒì·½²îÐÔµÄÓ°Ïì²¢Ìá¸ßÇúÏßÄâºÏµÄÖÊÁ¿£¬±ØÐ뾡Á¿¼õÉÙ¾ßÓнϸ߷½²î£¨higher variance£©µÄУ׼µã¶ÔÇúÏßÄâºÏµÄТ¾´£¬¹ãÒå×îСƽ·½ £¨generalized least squares£©ºÍ·½²îÎȶ¨±ä»»£¨variance stabilizing transformation£©¿ÉÒÔÓÃÀ´½â¾öÕâ¸öÎÊÌâ¡£ÕâЩҪÁìҪôÔÚÿ¸öÄâºÏµü´úºó¸üÐÂÈ¨ÖØº¯Êý£»ÒªÃ´×ª»»Êý¾ÝºÍÄ£ÐÍ£¬ÒÔʹÓÃÆÕͨ×îСƽ·½Ä£ÐÍ£¬¶ø²»Ê¹ÓÃÈ¨ÖØº¯Êý¡£ÔÚÒÑÐû²¼µÄÒªÁìÖУ¬ÏßÐԻعéбÂÊÒªÁ죨linear regression slope approach£©¿ÉÄÜÊÇ×îʵÓõġ£±¾ÎÄÏÂÃæÌÖÂÛÕâ¸öÒªÁì¡£
´ó´ó¶¼Óë LBA²âÊÔÏà¹ØµÄÈí¼þΪÖÖÖÖÄâºÏÄ£Ðͺͳ£ÓõÄÈ¨ÖØº¯Êý£¨Èç 1/Y »ò 1/Y2£©ÌṩÁËÄÚÖõÄÑ¡Ôñ¡£Ïà¹Ø¼à¹ÜÖ¸ÄϽ¨ÒéʹÓÃ×î¼òµ¥£¬²¢³ä·ÖÃèÊöÁË´ý²âÎïŨ¶ÈÓëÆäÏìÓ¦Ö®¼ä¹ØÏµµÄÄ£ÐÍ¡£ÔÚÑ¡Ôñ»Ø¹éÄ£ÐÍ£¨¼Ó»ò²»¼ÓÈ¨ÖØ£©Ê±£¬Èç¹û¶ÔÇúÏßÐÎ×´µÄÄ¿ÊÓÆÀ¹ÀºÍ¶ÔʹÓõÄͳ¼ÆÒªÁì½øÐбȽϣ¬Èç±È½ÏF²âÊÔºÍchi-square p value£¬²¢½ûÖ¹Ò×£¬Æä½á¹û¿ÉÄÜ»áÁîÈËÀ§»ó¡£ÕâÀï³£¼ûµÄÌôÕ½ÊÇÈçºÎÒÀ¾ÝÏà¹ØÖªÊ¶£¬ºÏÀíµØÑ¡ÔñÆäÖÐÖ®Ò»¡£
±¾ÎĽ«½éÉÜÒ»×é°¸ÀýÑо¿£¬ÆäÖнÓÄÉÒ©´ú¶¯Á¦Ñ§¶¨Á¿ÆÊÎöÒªÁ죬ÓÃÓÚѪÇå»òѪ½¬ÖÐÂѰ×ÉúÎïÒ©µÄ¶¨Á¿£¬ÒÔ¼°Ê¹ÓÃͨÓõÄͳ¼ÆÈí¼þÀ´È·¶¨Êʵ±µÄÄâºÏÄ£ÐͺÍÈ¨ÖØÒò×Ó¡£
LBAÒªÁìÊÇÆÀ¹ÀÉúÎïÒ©µÄPK/TKʱµÄÖ÷Òª¶¨Á¿ÆÊÎöÒªÁ죬¸ÃÒªÁìµÄÌØÒìÐÔºÍÑ¡ÔñÐÔÈ¡¾öÓÚÄ¿±ê´ý²âÎïÓëÆäËûÉúÎï·Ö×Ó£¨ÈçÊÜÌå¡¢ºÍÕë¶ÔºòÑ¡ÉúÎïÒ©µÄ¿¹Ì壩µÄÏ໥×÷Óá£LBAÒªÁìÖÐÊӲ쵽µÄÐźÅ/ÏìÓ¦ÓëÉúÎïÒ©µÄŨ¶È¼ä½ÓÏà¹Ø¡£
ÏÂÃæµÄʾÀýA¡¢BºÍC¶¼Ê¹ÓÃÁËLBAÒªÁ죬Èçµç»¯Ñ§·¢¹â£¨ECL£©¼ì²âƽ̨»ò±ÈÉ«·¨ELISA¼ì²âƽ̨£¬ÓÃÓÚ¶¨Á¿ÆÊÎöѪ½¬»òѪÇ壨ÈË»òʳзºï£©ÖеÄÂѰ×ÉúÎïҩŨ¶È¡£Ã¿¸ö°¸ÀýÑо¿ÖÐµÄÆÊÎöÒªÁì¼òÊöÈçÏ£º
°¸ÀýA£º¶ÔMeso Scale Discovery£¨MSD£©Multi-Array?΢¿×°å£¬Ê¹Óõ¥¿Ë¡¿¹Ò©ÎÌ壨5 ?g/mL£©°ü°å£¬ÁôËÞ£»Ö®ºó£¬Ó뺬ÓÐÒ©ÎïµÄÑùÆ·ÔÚÊÒÎÂÏ·õÓý60·ÖÖÓ£»Ï´°åºó£¬½áºÏµ½°åÉϵÄÒ©ÎïÓëbiotinylatedµ¥¿Ë¡¼ì²â¿¹Ì壨2.5??g/mL£©·õÓý60·ÖÖÓ£»È»ºó¼ÓÈë0.1??g/mL µÄStreptavidin-ruthenium£¬ÔÙ·õÓý60·ÖÖÓ£»Ö®ºó£¬MSDÒÇÆ÷ÔÚÌØ¶¨Ìõ¼þϼì²âµ½À´×Ôruthenium µÄµç»¯Ñ§·¢¹âÐźš£
°¸ÀýB£º¶Ôstreptavidin °ü±»µÄMSD Multi-Array?΢¿×°å£¬ÔÚÊÒÎÂÏ£¬ÒÔbiotinylatedµ¥¿Ë¡¿¹Ì壨4mg/mL£©°ü°å60ÖÁ120·ÖÖÓ£»Ëæºó£¬º¬ÓÐÒ©ÎïµÄÑùÆ·ÔÚÉÏÊö΢¿×°åÉÏ·õÓý90·ÖÖÓ£»Ê¹ÓÃСÊó¿¹ÈËIgG Fc-Ruthenium£¨0.36mg/mL£©·õÓý60·ÖÖÓ£¬ÒÔ½áºÏ±»¿¹Ìå²¶»ñµÄÉúÎïÒ©£»Ö®ºó£¬MSDÒÇÆ÷ÔÚÌØ¶¨Ìõ¼þϼì²âµ½À´×Ôruthenium µÄµç»¯Ñ§·¢¹âÐźš£
°¸ÀýC£ºÔÚCostar΢¿×°åÉÏ£¬ÔÚ4¡ãC°ü±»Ò©Îï°Ðµã£¨4 mg/mL£©£¬ÁôËÞ£»Óë°Ðµã½áºÏºóµÄÉúÎïÒ©£¬ÔÙÓë50 ng/mLµÄbiotinylatedµ¥¿Ë¡¿¹Ìå·õÓý60·ÖÖÓ£»Ö®ºó£¬ÔÙÓë1:50,000Ï¡ÊͺóµÄavidin D-HRP ·õÓý60·ÖÖÓ£»Ëæºó£¬¼ÓÈëHRPøµ×ÎTMB£¬ÒÔ±¬·¢É«¶È·´Ó¦£»È»ºóÓÃÁòËáÍ£Ö¹¸Ã·´Ó¦£¬²¢ÔÚø±êÒÇSpectramaxÉÏ£¬ÕÉÁ¿450nmµÄ¹âѧÃܶȣ¨OD£©¡£
Òì·½²îÐÔ£¨Heteroscedasticity£©
ÔÚÊÕÂÞµ½µÄʵÑéÔËÐеıê׼У׼Êý¾ÝÜöÝÍ£¨standard calibration data£©ÖУ¬¿ÉÒÔͨ¹ýÊÓ²ì²âÊÔÐźŵıê׼ƫ²î£¨SD£©ºÍУ׼µãŨ¶ÈÖ®¼äµÄ¹ØÏµÀ´ÆÀ¹ÀÒì·½²îÐÔ¡£Îª´Ë£¬»®·ÖÆÀ¹ÀÁ˰¸ÀýA¡¢BºÍCÔÚÒªÁ쿪·¢Àú³ÌÖлñµÃµÄ6¡¢7ºÍ10¸ö¶ÀÁ¢ÔËÐС£
Ê×ÏÈ£¬Ê¹ÓÃMicrosoft Excel 2010ÅÌËã±ê×¼·½²î£¬Æä´ÎʹÓà GraphPad Prizm 7 À´»æÖÆÃ¿¸öУ׼Ʒ²âÊÔÐźŵÄSDÓëУ׼µãŨ¶ÈµÄ¹ØÏµÍ¼¡£ÔÚÄ¿ÊÓ¿¼²éÁËSD±ä¸ïµÄÇ÷ÊÆºó£¬¾Í¿ÉÒÔÈ·¶¨¶ÔÈ¨ÖØº¯ÊýµÄÐèÇó¡£Èç¹ûSD±¬·¢Òƶ¯£¬Ôò±êÃ÷ÁËÒì·½²îÐÔ£¬Òò´Ë£¬ÐèҪʹÓÃÈ¨ÖØº¯Êý¡£Èç¹ûSDÔÚУ׼ƷŨ¶È¹æÄ£ÄÚÊǺ㶨µÄ£¬ÔòÎÞÐè¼ÓȨ¡£
µ±ÔÚУ׼ÇúÏßÖÐÊӲ쵽²âÊÔÐźŵıê׼ƫ²îËæÅ¨¶È±¬·¢±ä¸ïʱ£¬¾ÍÐèÒª¶Ô¸ü¾«È·µÄÊý¾Ýµã£¨¾ßÓнϵÍSDµÄÊý¾Ý£©Ê¹ÓÃÈ¨ÖØº¯ÊýÀ´µ÷½âÇúÏßµÄÄâºÏ¡£ÔÚ GraphPad Prizm 7 ÖУ¬¿ÉÒÔʹÓÃͼÐÎÏßÐԻعéÒªÁ죨graphical linear regression approach£©ÅÌËãÈ¨ÖØº¯ÊýÒò×ÓÈçÏ£º
°ì·¨1. »æÖÆÏÂÊö¶þÕߵĹØÏµÍ¼£º¶ÔÊýת»»ºóµÄ²âÊÔÐÅºÅÆ½¾ùÖµÓë¶ÔÊýת»»ºóµÄSD£¬¶Ô¶þÕßʹÓÃÏàͬµÄ¶ÔÊýµ×Êý£¨10»ò2£©¡£
°ì·¨2. ÔÚ°ì·¨1ÖлñµÃµÄÏßÐԻعéÖ±ÏßµÄбÂÊÖµ£¨k£©³ËÒÔ2£¬ÒÔÈ·¶¨È¨Öغ¯ÊýÒò×Ó£¨weighting function factor£©£¬¼´2k¡£
ΪÁËÆ½ºâËùÓÐУ׼µãµÄТ¾´£¬ÔÚ4PL»ò5PLÇúÏßÄâºÏÖÐÓ¦ÓÃÈ¨ÖØº¯Êý 1/Y2k£¨ÆäÖÐYÊDzâÊÔÐźţ¬2kÊÇÈ¨ÖØÒò×Ó£©£¬ÒÔ¾¡Á¿¼õÉÙweighted sum-of-squares£¬´Ó¶ø»ñµÃ¸üºÃµÄ׼ȷ¶ÈºÍ¾«Ãܶȡ£
½«È¨Öغ¯Êý 1/Y2k Ó¦ÓÃÓÚÇúÏßÄâºÏÄ£ÐÍ £¨4PL »ò 5PL£©ºó£¬ÔÙʹÓÃWatson LIMS£¬½«»ØËãµÄУ׼µãŨ¶È²åÈë¼ÓȨÄâºÏµÄÇúÏߣ¨¼Ù¶¨ÕâЩУ׼µãÊÇδ֪Ũ¶ÈµÄÑù±¾£©¡£
Èç¹û¶ÔËùÓвâÊÔÔËÐкͶÔÿ¸ö±ê׼У׼µã£¨Ãª¶¨µã³ýÍ⣩£¬ÀÛ»ý%REÔÚ¡À15% Ö®ÄÚ²¢ÇÒÀÛ»ý%CV¡Ü15%£¬Ôò»Ø¹éÄ£ÐÍÊÇ¿ÉÒÔ½ÓÊܵ컵«¹ØÓÚ¶¨Á¿ÏÂÏÞ£¨LLOQ£©ºÍÉÏÏÞ£¨ULOQ£©£¬½ÓÊܱê×¼Ò»°ã %RE¡À20ºÍÀÛ»ý %CV¡Ü20¡£Ô¤¼ÆµÄ¶¨Á¿¹æÄ££¨ROQ£©ÊÇÔÚÇкÏÉÏÊö½ÓÊܱê×¼µÄ×îµÍºÍ×î¸ß±ê׼Ũ¶ÈÖ®¼äÈ·¶¨µÄ¡£ÔÚ MS Excel 2010 ÖУ¬ÀÛ¼Æ%REºÍÀÛ»ý%CV »®·ÖÅÌËãΪ£º[100 - 100 x£¨»ØËãŨ¶ÈµÄƽ¾ùÖµ/±ê³ÆÅ¨¶È£©]ºÍ 100 X£¨»ØËãŨ¶ÈµÄ±ê×¼·½²î/»ØËãŨ¶ÈµÄƽ¾ùÖµ£©¡£
Ö®ºó£¬Ê¹Óà GraphPad Prizm 7 »æÖÆ 4PL ºÍ 5PL Ö®¼ä׼ȷ¶È£¨ÀÛ»ýcumulative %RE£©ºÍ¾«Ãܶȣ¨ÀÛ»ýcumulative %CV£©µÄ±È½Ïͼ¡£»Ø¹éÄ£Ð͵ÄÊÊÒËÐÔ¿ÉʹÓô˿ÉÊÓ»¯Í¼Ðι¤¾ßÀ´ÅжϣºÔڿɽÓÊܵĹæÄ£ÄÚ°üÀ¨Á˸ü¶à±ê׼У׼µã£¬²¢ÇÒÀÛ»ý %RE ºÍÀÛ»ý %CV ½ÏµÍÄ£ÐÍ£¬¾ÍÊÇÓ¦¸ÃÑ¡ÔñµÄÄ£ÐÍ¡£Èç¹ûÁ½ÖÖÄ£Ð͵ÄЧÄܺÜÊÇÏàËÆ£¬Ôò¿Éͨ¹ýÊÇ·ñ¾ßÓмÓȨ4PLÀ´×öÑ¡Ôñ £¬ÒòΪһ°ã×ñÑ Occam¡¯s razor ÔÔò£¬ ¼´ÒÔ×îÉٵļÙÉ裬·¢Ã÷Êý¾ÝºÍÄ£ÐÍÖ®¼äµÄ¹ØÏµ¡£
ͼ1. Ñ¡ÔñÇúÏßÄâºÏÄ£ÐÍÒÔÌá¸ßÇúÏßÐÔÄܵÄÒªÁ졣ʵ¼ÊÊÂÇéÁ÷³ÌÃèÊöÁËÑ¡ÔñÈ¨ÖØº¯ÊýºÍÇúÏßÄâºÏÄ£Ð͵Äÿ¸ö°ì·¨ºÍÕû¸öÀú³Ì¡£

±¾ÎÄÌá³öÁËÒ»Öֽṹ»¯µÄÒªÁ죬ͨ¹ýÑ¡ÔñÕýÈ·µÄÇúÏßÄâºÏÄ£ÐͺÍÈ¨ÖØº¯Êý£¬ÒÔÀ©Õ¹ LBAÆÊÎöÒªÁìµÄ¶¨Á¿¹æÄ££¨Í¼1£©¡£¸ÃÒªÁìÍêÈ«´ÓÊýѧµÄ½Ç¶È³ö·¢£¬È·¶¨Ò»ÌõУ׼ÇúÏßÊÇ·ñÐèÒª¼ÓÈ¨ÖØÒÔ¼°ÄÄÖÖ¼ÓȨ·½·¨×îºÏÀí¡£Èç¹ûÊÕ¼¯µ½µÄÊý¾ÝÖзºÆð³öµÄÒìÖÊÐÔ£¬ÔòÔÚ׼ȷ¶ÈºÍ¾«ÃܶÈÐÐΪ·½Ã棬¶Ô4PLºÍ5PLÁ½¸öÄ£ÐÍ£¨ÒÔ¼°È·¶¨µÄÈ¨ÖØº¯Êý£©½øÐбȽϣ»Èç¹ûδÊӲ쵽Òì·½²îÐÔ£¬Ôò¶Ô²»º¬È¨ÖØÁ¿4PLºÍ5PLÄ£ÐͽøÐбȽϡ£ÒÔϽ«´ËÔÔòÓ¦ÓÃÓÚ3¸öµä·¶ LBAÆÊÎö°¸Àý¡£ÔÚÕâ3¸öÉúÎïÒ©µÄÒ©´ú¶¯Á¦Ñ§£¨PK£©Ñо¿°¸ÀýÖУ¬×ܹ²¿ª·¢ÁË3¸öÆÊÎöÒªÁ죬²¢ÊӲ쵽3ÖÖ²î±ðÐÎ×´µÄУ׼ÇúÏß¡£ÆäÖУ¬Á½¸öÆÊÎöÒªÁ죨°¸ÀýAºÍB£©ÀûÓÃÁ˵绯ѧ·¢¹â£¨ECL£©Æ½Ì¨£¬¶øÁíÒ»¸öÆÊÎöÒªÁ죨°¸ÀýC£©Ê¹ÓÃÁ˱ÈÉ«ELISAƽ̨¡£
ΪÁËÔÚÒªÁ쿪·¢Àú³ÌÖжÔŨ¶È-²âÊÔÐźŵĹØÏµ½øÐÐÏêϸÑо¿£¬±í1ÖÐÃèÊöÁ˶¨Á¿ÆÊÎöÉúÎïÒ©A¡¢BºÍCŨ¶ÈµÄ3ÌõУ׼ÇúÏß¡£ÔÚÔ¤ÆÚµÄ¶¨Á¿¹æÄ£ÄÚ£¨¶ÔÊý±ê×¼ÉÏ£©£¬Ð£×¼µã´óÖ¾ùÔÈÂþÑÜ¡£
±í1. 3ÌõPKУ׼ÇúÏßµÄÌØÕ÷×ܽá

ÓÃÓÚÆÀ¹À¸÷×ÔPKÆÊÎöÔËÐеÄУ׼ÇúÏßÊý¾ÝÈçͼ2Ëùʾ¡£ÔÚËùÓÐ3¸ö°¸ÀýÑо¿Öж¼ÊӲ쵽Á˵䷶µÄ·ÇÏßÐÔµÄŨ¶È-ÏìÓ¦ÇúÏß¡£
ͼ2. 3¸ö°¸ÀýÑо¿ÖеÄУ׼ÇúÏߣº°¸Àý A£¨a£©£¬°¸Àý B£¨b£© ºÍ°¸Àý C£¨c£©¡£¸ÃͼչʾÁË3Ìõ±ê×¼ÇúÏßµÄÐÎ×´£¬´ú±íÁËÔÚLBA²âÊÔÖÐͨ³£ÊӲ쵽µÄµä·¶·ÇÏßÐÔÏìÓ¦¡£XÖá´ú±íУ׼µãŨ¶ÈµÄ¶ÔÊý£¬YÖá´ú±íÏìÓ¦¶ÁÊý£º°¸ÀýAºÍBÊÇÏà¶Ô¹âµ¥Î»£¨RLU£©£¬°¸ÀýCÊÇ450 nM ¹âѧÃܶȣ¨OD 450£©¡£

ͼ3. °¸ÀýA£¨a£©¡¢°¸ÀýB£¨b£©ºÍ°¸ÀýC£¨c£©µÄÒì·½²îÐԸſö¡£XÖá´ú±íУ׼µãŨ¶ÈµÄ¶ÔÊý£¬YÖá´ú±íʵÑéÔËÐÐÖвâÊÔÐźŵÄSD¡£

ÏÂÃæÆÀ¹ÀÁ˱í1ÖÐ3ÌõУ׼ÇúÏßÉϲâÊÔÐźŵıê׼ƫ²î£¨SD£©£¬¸ÃSDÊÇÒì·½²îÐÔµÄÖ±½ÓÖ¸±ê¡£Õâ3ÌõУ׼ÇúÏßÉϲâÊÔÐźŵÄSD£¨±äÒìÐÔvariability£©²»ÊǺ㶨µÄ£¬¶øÊÇËæ×ÅУ׼µãµÄŨ¶È¶ø¸Ä±ä¸ïµÄ£¨Í¼3£©¡£
¹ØÓÚ°¸ÀýA£¬µ±Ò©ÎïŨ¶ÈÁè¼Ý 20 ng/mLʱ£¬Æä±äÒìÐÔ¼±¾çÔö¼Ó¡£ÔÚ°¸ÀýBÖУ¬SD´ó·ùÔö¼Ó£¬Ö±µ½48.3 ng/mLµÄŨ¶È£¬²¢ÔÚ 48.3ºÍ 250 ng/mL Ö®¼ä·ºÆðϽµÇ÷ÊÆ¡£¹ØÓÚ°¸ÀýC £¬SD Ôö¼Ó£¬Ò»Ö±µ½23.5 ng/mLµÄŨ¶È£¬Ö®ºóÉÔ΢½µ£¬Ö±ÖÁ79.3 ng/mL¡£×ÜÌå¶øÑÔ£¬Å¨¶È½Ï¸ßУ׼µãµÄSD´óÓÚŨ¶È½ÏµÍУ׼µã¡£Ð£×¼ÇúÏßÖ®¼äµÄ·Çºã¶¨ SD ģʽ´úÌåÏÖÒì·½²îÐÔ£¬ÔڽϸßŨ¶Èϵĸ߱äÒìÐÔ±êÃ÷ÐèҪʹÓüÓȨÄâºÏ¡£Í¼1ËùʾµÄ¾ö²ßÊ÷Ö¸Ã÷ÁËÈçºÎÈ·¶¨Êʵ±µÄÈ¨ÖØÒò×ӺͿÉÒÔ½ÓÊܵÄÄâºÏÄ£ÐÍ¡£
ΪÁËÈ·¶¨È¨ÖØÒò×Ó£¬Ê×ÏÈÐèÒª´ÓÏÂÃæµÄÏßÐԻعéÖеóöбÂÊ£¨kÖµ£©£º¶ÔÊý±ä»»µÄ²âÊÔÐźÅSD vs ¶ÔÊý±äµÄ»»²âÊÔÐÅºÅÆ½¾ùÖµ£¨Í¼4£©£»È»ºó£¬Ó¦Óà 1/Y2k ·½³ÌʽÀ´ÅÌËã×îÖÕµÄÈ¨ÖØº¯Êý¡£¹ØÓÚ°¸Àý A£¬B ºÍ C£¬ÏßÐԻعéµÄбÂÊ»®·ÖΪ 1.06¡¢1.00 ºÍ 0.657¡£¹ØÓÚ°¸Àý A ºÍ B£¬ÓÉÓÚбÂʽӽü1.0£¬Òò´ËÔÚ4PLºÍ5PLÄ£ÐÍÖÐʹÓÃÁËÈ¨ÖØº¯Êý1/Y2 ¡£¹ØÓÚ C Àý£¬È¨Öغ¯ÊýΪ 1/Y£¬ÓÉÓÚбÂʽӽü 0.5¡£ÔÚWaston LIMSÖУ¬Ö»ÓÐ 1/Y or 1/Y2ÕâÁ½ÖÖÈ¨ÖØº¯Êý¿ÉÓá£
ͼ4. °¸Àý A£¨a£©¡¢°¸Àý B £¨b£© ºÍ°¸Àý C £¨c£©ÖÐkÖµ¼òÖ±¶¨¡£°¸Àý A¡¢B ºÍ C µÄбÂÊ£¨kÖµ£©»®·ÖΪ 1.06¡¢1.00 ºÍ 0.657¡£°¸ÀýA¡¢BºÍCµÄR2£¨È·¶¨ÏµÊýcoefficient of determination£©»®·ÖΪ0.998¡¢0.984ºÍ0.934¡£

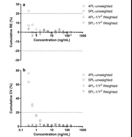
Ϊȷ¶¨¿ÉÒÔ½ÓÊܵÄÇúÏßÄâºÏÄ£ÐÍ£¬¿¼²ìÁËÈçϲÎÊý£º4PLºÍ 5PLÄ£ÐÍ£»È¨Öغ¯Êý£º1/Y2£¨°¸ÀýA£©£¬1/Y2£¨°¸ÀýB£©ºÍ 1/Y£¨°¸ÀýC£©£»±È½Ï²ÎÊý£º»ØËãŨ¶ÈµÄÀÛ»ý %RE£¨Í¼5£©ºÍÀÛ»ý %CV£¨Í¼6£©¡£Ó¦ÖÐÑ¡ÔñÔڿɽÓÊܵĹæÄ£ÄÚ£¬¾ßÓнϵ͵Ä%CVºÍ%REУ׼µãÊýÁ¿½Ï¶àµÄ»Ø¹éÄ£ÐÍ¡£Èç¹ûÁ½Õß¶¼ÊÇÏ൱µÄ£¬ÔòӦѡȡ¼ÓȨ4PL×÷Ϊ×îÖÕµÄÇúÏßÄâºÏÄ£ÐÍ¡£ÔÚ Watson LIMS ÖÐÉú³Éÿ´ÎÔËÐеĻØËãŨ¶È¡£ËùÓÐÇé¿öµÄ»ØËãŨ¶ÈµÄÀÛ»ý %REºÍ %CVÅÌË㣨ÔÚÇúÏßÄâºÏÄ£ÐÍÈ·¶¨ÕÂ½ÚµÄ B ²¿·Ö£©¡£Í¼5ºÍͼ6¸ø³öÁ˼ÓȨ4PLÄ£ÐÍÓë¼ÓȨ5PLÄ£Ð͵ÄÀÛ»ý %REºÍÀÛ»ý %CVµÄ±È½Ï¡£
Èçͼ5Ëùʾ£¬¹ØÓÚ¾ßÓÐÏàÓ¦È¨ÖØº¯ÊýµÄ4PLºÍ5PLÄ£ÐÍ£¬ËùÓÐУ׼µãµÄ %RE»®·Ö£º°¸ÀýA£¬ µÍÓÚ4%ºÍ3%£»°¸Àý B£¬µÍÓÚ18%ºÍ16%£»°¸Àý C£¬µÍÓÚ7 ºÍ 6%¡£ÔÚËùÓа¸ÀýÑо¿ÖУ¬¼ÓȨ4PLºÍ¼ÓȨ5PLÄ£Ð͵Ä׼ȷ¶ÈÊÇÏ൱µÄ£¬¹ØÓÚ°¸Àý A¡¢B ºÍ C£¬ËùÓÐУ׼µã¶¼ÔÚ¿ÉÒÔ½ÓÊܵĹæÄ£ÄÚ¡£Æ¾¾Ý׼ȷ¶ÈÐÐÎªÍ¼ÍÆ¶ÏµÄ¶¨Á¿¹æÄ££¨ROQ£©»®·ÖΪ£º0.317-178 ng/mL£¨°¸ÀýA£©£¬0.602-250 ng/mL£¨°¸ÀýB£©£¬ºÍ1.37-79.3 ng/mL£¨°¸ÀýC£©¡£
ͼ5. ׼ȷ¶ÈÐÐΪͼ¡£¶Ô°¸ÀýA£¨a£©¡¢°¸ÀýB£¨b£©ºÍ°¸ÀýC£¨c£©ÖÐУ׼ÇúÏߵļÓȨ£¨1/Y»òÕß1/Y2£©ÄâºÏÄ£ÐͽøÐÐÁ˱Ƚϡ£±È½ÏÄ£ÐÍ£º4PL vs 5PL£»±È½Ï²ÎÊý£º»ØËãŨ¶ÈµÄÀÛ»ýÏà¶ÔÎó²î£¨%RE£©¡£Á½ÌõÐéÏßÖ®¼äµÄÇøÓòÊǿɽÓÊܹæÄ££¨¡À 20%£©¡££¨¡ð£©´ú±í4PL¼ÓȨÄâºÏ£¬£¨¡õ£©´ú±í5PL¼ÓȨÄâºÏ¡£

ͼ6ÏÔʾ£¬¹ØÓÚ¼ÓȨ4PLºÍ¼ÓȨ5PLÇúÏßÄâºÏÄ£ÐÍ£¬ËùÓÐУ׼µãµÄÀÛ¼Æ%CV£º°¸ÀýA£¬µÍÓÚ3.0ºÍ2.9%£»°¸ÀýB£¬µÍÓÚ39.7%ºÍ26.3%£»°¸ÀýC£¬µÍÓÚ6.6%ºÍ10.8%¡£°¸ÀýAºÍC¶ÔÁ½¸öÄâºÏÄ£ÐͼÓȨÄâºÏºó£¬ËùÓÐУ׼µãµÄ %CV±äµÃÏ൱ÁË¡£¶Ô°¸ÀýAºÍC£¬ËùÓÐУ׼µãµÄ¼ÓȨ4PLºÍ¼ÓȨ5PLµÄ¾«ÃܶÈÒ²ÊÇÏàËÆµÄ¡£Æ¾¾Ý¾«ÃܶÈÐÐÎªÍ¼ÍÆ¶ÏµÄROQ»®·ÖΪ0.317-178 ng/mL£¨°¸ÀýA£©ºÍ1.37-79.3 ng/mL£¨°¸ÀýC£©¡£Ê¹ÓüÓȨ4PLÄ£ÐÍ£¬Óë¼ÓȨ5PLÄ£ÐÍÏà±È£¬°¸ÀýB¿ÉÒÔ½ÓÊܵÄУ׼µãÊýÁ¿´Ó9Ôö¼Óµ½11£¬¼ÓȨ4PLÄ£Ð͵ĹÀËãµÄROQ Ϊ 0.602-145 ng/mL£¬¶ø¼ÓȨ5PLÄ£Ð͵ļì²â¹æÄ£½ÏÕ£º0.602 - 48.3 ng/mL¡£Æ¾¾Ý½ÓÊܱê×¼£¬¹ØÓÚ°¸Àý A¡¢B ºÍ C £¬×îÖÕ¿ÉÒÔ½ÓÊܵÄÇúÏßÄâºÏÄ£ÐͶ¼ÊÇ4PL£¬È¨Öغ¯Êý»®·ÖΪ 1/Y2£¬1/Y2ºÍ1/Y¡£
ͼ6. ¾«ÃܶÈÐÐΪͼ£º°¸ÀýA£¨a£©£¬°¸ÀýB£¨b£©ºÍ°¸ÀýC£¨c£©±È½ÏÄ£ÐÍ£º¼ÓȨ4PL vs ¼ÓȨ5PL£»±È½Ï²ÎÊý£º»ØËãŨ¶ÈµÄ %CV¡£ÐéÏߺÍXÖáÖ®¼äµÄÇøÓòÊǿɽÓÊܹæÄ££¨¡À 20%£©¡££¨¡ð£©´ú±í 4PL ¼ÓȨÄâºÏ£¬£¨¡õ£©´ú±í 5PL ¼ÓȨÄâºÏ¡£

ͼ7ÑÝʾÁ˶԰¸Àý A Ó¦ÓÃÉÏÊö¼Æ»®ºó£¬Ð£×¼ÇúÏßÐÔÄÜÊÇÈçºÎ¸ïÐµģ¨´Ë´¦²»ÏÔʾ°¸ÀýBºÍCµÄͼ±í£©¡£Ê¹Ó÷ǼÓȨ4PL»Ø¹éÄ£ÐÍ»ØËãŨ¶È»æÖƵÄ׼ȷ¶ÈÐÐΪͼ£¨ÀÛ»ý %RE£¬Í¼7a£©±êÃ÷£¬Óë¼ÓȨÏà±È´ËÄ£ÐÍÌåÏÖ³ö¸üյĶ¯Ì¬¹æÄ££¬0.563-178 ng/mL£»¼ÓȨ4PLÄ£ÐÍ£º0.317-178 ng/mL¡£·Ç¼ÓȨ 5PL»Ø¹éÄ£ÐÍÏÔʾ¸üºÃµÄ׼ȷ¶È£ºËùÓÐУ׼µãµÍÓÚ20%¡£¿ÉÊÇ£¬ÔÚÓ¦ÓÃ1/Y2µÄÈ¨ÖØº¯Êý£¨ÔÚ¡°Òì·½²î¶ÈÆÀ¹À¡±Õ½ÚÈ·¶¨£©ºó£¬ ËùÓÐУ׼µãµÄÀÛ»ý %RE»ñµÃ¸ÄÉÆ£¬¶¼ÔÚ¡À3%ÒÔÄÚ£¨Í¼7a£©¡£
¾«ÃܶÈÐÐΪͼ£¨ÀÛ»ý %CV£¬Í¼7b£©ÏÔʾ£¬·Ç¼ÓȨ4PLºÍ5PL»Ø¹éÄ£Ð͵ÄROQÏÔÖøÏÁÕ£º1.00-178 ng/mL£»¶øÔÚʹÓÃÁË1/Y2 µÄÈ¨ÖØº¯Êýºó£¬ROQ±äΪ0.317-178 ng/mL¡£¸ÃУ׼ÇúÏߵͶ˵ÄЧÄܵÄÏÔÖø¸ÄÉÆÏÔʾÁ˼ÓȨÄâºÏµÄÁ¦Á¿£¬ÒòÆä½µµÍÁ˸߱äÒìÐԵIJâÊÔÐźŶÔÇúÏßÄâºÏµÄÓ°Ïì¡£°¸ÀýA±êÃ÷£¬Ê¹ÓÃÊʵ±µÄÈ¨ÖØº¯Êý¿ÉÒÔÌá¸ß¾«ÃܶȺÍ׼ȷ¶È£¨¾ùµÍÓÚ4%£©ÒÔ¼°À©Õ¹¶¨Á¿¹æÄ££¨0.317-178 ng/mL£©¡£
ͼ7. °¸ÀýA±ê×¼ÇúÏß¼ÓȨ֮ǰºÍÖ®ºó£¬4PLºÍ5PLÄ£Ð͵Ä׼ȷ¶ÈºÍ¾«ÃܶÈÐÐΪͼ¡£ÀÛ»ý %RE£¨Í¼ 7a£©ºÍÀÛ¼Æ %CV£¨Í¼7b£©ÔÚÄ£ÐÍÖ®¼äµÄ±È½Ï£º4PL vs. 5PL£¨ÎÞÈ¨ÖØ£©£»ÒÔ¼°4PL vs. 5PL£¨È¨ÖØÒò×Ó£º1/Y2£©¡£

±í2ÏÔʾ£¬Ê¹ÓÃÊʵ±µÄÈ¨ÖØº¯Êý¿ÉÒÔÀ©Õ¹ROQ¡£¶Ô°¸ÀýB£¬Ó¦ÓÃÈ¨ÖØº¯Êýµ½4PL»Ø¹éÄ£Ðͺó£¬ROQ»ñµÃÏÔÖøÀ©Õ¹£»´Óδ¼ÓȨµÄ1.04-48.3 ng/mLµ½ ¼ÓȨµÄ0.602-145 ng/mL£»¼ÓȨ5PLÄ£Ð͵ÄROQ£¬Ôò´Óδ¼ÓȨ1.04-145 ng/mL±äΪ¼ÓȨµÄ0.602-48.3 ng/mL¡£¶Ô°¸ÀýC£¬4PLÄ£Ð͵ÄROQÂÔÓÐÀ©Õ¹£º´Óδ¼ÓȨµÄ2.06-79.3 ng/mL£¬µ½¼ÓȨµÄ1.37-79.3 ng/mL¡£¹ØÓÚ5PLÄ£ÐÍ£¬Ê¹ÓÃÈ¨ÖØº¯ÊýºóROQûÓÐÔö¼Ó¡£

±¾ÎÄΪȷ¶¨LBA¶¨Á¿ÆÊÎöÒªÁìÖÐУ׼ÇúÏߵĻعéÄ£Ðͼ°È¨Öغ¯ÊýµÄÑ¡Ôñ£¬ÌṩÁËÒ»¸ö¾ö²ßÊ÷ºÍÏàÓ¦µÄÒªÁ죬ĿµÄÊÇΪÁËΪ¼õÉÙÒì·½²îÐÔ£¨heteroscedasticity£©µÄÓ°Ïì¡£±¾ÎĵĽ¨Òé»ñµÃ3¸ö°¸ÀýÑо¿µÄÖ§³Ö¡£
ÓÉÓÚLBAÖÐÆ½ºâ½áºÏ£¨equilibrium binding£©µÄÌØÐÔ£¬Êµ¼ùÖо³£ÊӲ쵽²âÊÔÏìÓ¦µÄ·Çºã¶¨·½²î£¬³ÆÎªÒì·½²îÐÔ£¨heteroscedasticity£©¡£±¾ÎÄ·¢Ã÷ÏßÐԻعéбÂÊÒªÁ죨linear regression slope approach£©Êǽâ¾öÒì·½²îÐÔ×îʵ¼ÊµÄÒªÁì¡£
ÔÚÒªÁ쿪·¢Àú³ÌÖУ¬¿ÉÒÔ»æÖÆÐ£×¼ÇúÏߵIJâÊÔÐźŵıê×¼·½²î£¨standard deviation£¬SD£©ÓëУ׼µãŨ¶ÈµÄ¶ÔÊýµÄÏà¹ØÍ¼¡£Ò»ÌõУ׼ÇúÏߵķǺ㶨SDÇ÷ÊÆ±êÃ÷±£´æÒì·½²îÐÔ£¬ÕâÒâζ×ÅÐèҪʹÓÃÈ¨ÖØº¯Êý¡£ËùÓеÄ3¸ö°¸ÀýÑо¿£¨A£¬B ºÍ C£©¶¼ÏÔʾ£¬²âÊÔÐźÅÔڽϸßÒ©ÎïŨ¶ÈÏ£¬¾ßÓиü¸ßµÄ±äÒìÐÔ£¬ÐèÒª¼ÓȨÄâºÏУ׼ÇúÏß¡£Ò»°ã¶øÑÔ£¬ÈκÎÒ»¸öLBA¶¨Á¿ÆÊÎöÒªÁ죬¶¼»áÊÜÒæÓÚʹÓÃÈ¨ÖØº¯Êý¡£
ÐèҪעÒâµÄÊÇ£¬Ò»µ©È·¶¨ÐèÒªÈ¨ÖØÒò×Ó£¬ÈçºÎÈ·¶¨ÕýÈ·µÄÈ¨ÖØÒò×ÓÔò³ÉÎªÖØÖÐÖ®ÖØ¡£±¾ÎÄÍÆ¼öµÄÒªÁìÊÇ£ºÊ×ÏÈ£¬´Ó²âÊÔÐźţ¨Y£©µÄ±ê×¼·½²î£¨¶ÔÊý±ä»»ºó£©Óë²âÊÔÐÅºÅÆ½¾ùÖµ£¨¶ÔÊý±ä»»ºó£©µÄÏßÐÔ»Ø¹é¹ØÏµÖУ¬È·¶¨ÆäбÂÊ£¬ÓÖ³ÆkÖµ£»È»ºó£¬½«Ð±ÂÊ£¨k£© ´úÈëÒÔÏ·½³Ì 1/Y2k ÖУ¬ÒÔÈ·¶¨È¨ÖØÒò×Ó£¨1/Y »ò 1/Y2£©¡£
ÔÚ°¸ÀýÑо¿ A¡¢B¡¢C ÖУ¬ÏßÐԻعéµÄбÂÊ»®·ÖΪ 1.06£¬1.00 ºÍ 0.657; Òò´Ë£¬È¨ÖØÒò×Ó»®·ÖÔ¤¼ÆÎª2£¬2ºÍ1¡£ÔÚ°¸ÀýAºÍBÖУ¬È¨ÖØÒò×ÓΪ2; Òò´Ë£¬ÔÚУ׼ÇúÏ߻عéÄ£ÐÍ£¨4PL»ò5PL£©ÖУ¬Ê¹ÓÃÁËÈ¨ÖØº¯Êý1/Y2¡£¹ØÓÚ°¸ÀýC£¬È¨ÖØÏµÊýΪ 1; Òò´Ë£¬È¨Öغ¯ÊýΪ 1/Y¡£
ΪÁËÈ·¶¨¿É½ÓÊܵÄÇúÏßÄâºÏÄ£ÐÍ£¬Ó¦ÆÀ¹ÀÄâºÏÇúÏßµÄ4PLÓë5PLÄ£ÐÍ£¨²»¼ÓȨºÍ¼ÓȨ£©»ØËãŨ¶ÈµÄÀÛ»ý %REºÍÀÛ»ý %CV¡£Ó¦ÖÐÑ¡Ôñ£¬ÔڿɽÓÊܵĹæÄ£ÄÚ£¬¾ßÓнϵ͵Ä%CVºÍ%RE£¬Ð£×¼µãÊýÁ¿½Ï¶àµÄ»Ø¹éÄ£ÐÍ¡£Èç¹ûÁ½Õß¶¼ÊÇÏ൱µÄ£¬ÔòÑ¡Ôñ¼ÓȨ4PLÄ£ÐÍ×÷Ϊ×îÖÕÇúÏßÄâºÏÄ£ÐÍ£¬½øÐÐÒªÁìÑéÖ¤ºÍÑùÌìÖ°Îö¡£Æ¾¾Ý FDA Ö¸ÄÏ£¬Ó¦ÖÐÑ¡Ôñ¼ÙÉè×îÉÙµÄÄ£ÐÍ£¬¼´Ñ¡Ôñ×î¼òµ¥µÄÄ£ÐÍ¡£Æ¾¾Ý¾«ÃܶȺÍ׼ȷ¶ÈÊý¾Ý£¬ÔÚËùÓÐ3¸ö°¸ÀýÖУ¬4PL¶¼ÊÇ»ùÓÚÕâЩ±ê×¼µÄ×î¼Ñ»Ø¹éÄ£ÐÍ¡£
ΪÁËÑéÖ¤ËùÑ¡Ôñ»Ø¹éÄ£ÐͺÍÈ¨ÖØº¯Êý£¬¿ÉÒÔ×öÆäËûÆÀ¹À¡£ÀýÈ磬ÔÚʹÓÃÈ¨ÖØº¯Êý֮ǰºÍÖ®ºó£¬¿ÉÒԱȽÏ4PLºÍ5PLÄ£Ð͵Ä׼ȷ¶ÈºÍ¾«ÃܶÈÐÐΪ¡£±¾Îĸø³öÁË4PLÓë5PL£¨ÎÞ¼ÓȨºÍ 1/Y2¼ÓȨ£©µÄÀÛ»ý %CV ºÍÀÛ»ý %RE µÄ±È½Ï£¬ÀÛ»ý %REµÄ¿É½ÓÊܹæÄ£Îª¡À 20%£¬ÀÛ»ý %CV µÄ¿É½ÓÊܹæÄ£Îª¡Ü20%¡£
°¸ÀýA±êÃ÷£¬Ê¹ÓÃÊʵ±µÄÈ¨ÖØº¯Êý¿ÉÒÔÌá¸ß¾«ÃܶȺÍ׼ȷÐÔ£¨¾ùµÍÓÚ10%£©ºÍÀ©Õ¹¶¨Á¿¹æÄ££¨0.317-178 ng/mL£©¡£ÔÚ°¸ÀýBºÍCÖУ¬Ð£×¼ÇúÏßÄâºÏÒ²ÓиÄÉÆ¡£°¸ÀýBÔÚ4PL»Ø¹éÄ£ÐÍÉϼÓȨºó£¬ROQ»ñµÃÏÔÖøÀ©Õ¹£ºÎ´¼ÓȨʱΪ1.04-48.3 ng/mL£»¼ÓȨºóΪ 0.602-145 ng/mL£»5PLÄ£ÐÍ£¬Î´¼ÓȨ1.04-145 ng/mL£¬¼ÓȨºó0.602-48.3 ng/mL¡£°¸ÀýC4PLÄ£ÐÍÔÚ¼ÓȨºóROQ ÂÔÓÐÀ©Õ¹£ºÎ´¼ÓȨ2.06-79.3 ng/mL£»¼ÓȨΪ1.37-79.3 ng/mL¡£
ÔÚ¶¨Á¿ LBA ÒªÁ쿪·¢Àú³ÌÖУ¬±¾ÎĽéÉÜÁËÒ»¸ö¼òµ¥¡¢Ò×ÓÚʹÓõľö²ßÊ÷£¬ÒÔÈ·¶¨Ð£×¼ÇúÏßµÄ×î¼Ñ»Ø¹éÄ£ÐͺÍÈ¨ÖØ¡£ËùÍÆ¼öµÄÒªÁ콫ѡÔñÒ»¸ö¼ÓȨµÄÇúÏßÄâºÏÄ£ÐÍ¡£
1. ÔÚÒªÁ쿪·¢Àú³ÌÖУ¬ÖÁÉÙÐèҪʹÓÃ3¸ö¶ÀÁ¢µÄ²âÊÔÔËÐжÔÄ£ÐÍÑ¡Ôñ½øÐпª¶ËÆÀ¹À; ¿ÉÊÇ£¬Ò»°ã½¨ÒéÔö¼ÓÔËÐеÄÊýÁ¿£¬ÒÔ±ãÔÚÑо¿Ç°Ñé֤ʱ£¬ÑéÖ¤ÇúÏßÄâºÏÄ£ÐÍ¡£ÓÉÓÚ¶ÔÏìÓ¦-Îó²î¹ØÏµµÄÔ¤¼Æ±£´æ¾ÖÏÞÐÔ£¬Òò´Ë²»½¨ÒéʹÓýÏСµÄÊý¾ÝÜöÝÍ£»
2. ÆÀ¹ÀÒì·½²îÐÔ£»
3. Èç¹û±£´æÒì·½²îÐÔ£¬¾Íͨ¹ýбÂÊÒªÁìÈ·kÖµ£¨¼´Ð±ÂÊ£©£¬È»ºóÅÌËãÈ¨ÖØÒò×Ó£¨È¨Öغ¯Êý=1/Y2k£©£»
4. ʹÓÃ׼ȷ¶È£¨%RE£©ºÍ¾«Ãܶȣ¨%CV£©ÐÐΪÀ´Ñ¡ÔñºÍÑéÖ¤¸üºÃµÄ¼ÓȨ»Ø¹éÄ£ÐÍ£»
5. ½¨ÒéʹÓöÀÁ¢ÖƱ¸µÄÖÊÁ¿¿ØÖÆÑùÆ·£¨QC£©À´ÑéÖ¤ÆÊÎöÒªÁìµÄ¶¨Á¿¹æÄ£¡£
±¾ÎÄÈçÓÐÊ詺ÍÎó¶ÁÏà¹ØÖ¸ÄϺÍÊý¾ÝµÄµØ·½£¬Çë¶ÁÕ߯ÀÂÛºÍÖ¸Õý¡£ËùÓÐÒýÓõÄÔʼÐÅÏ¢ºÍ×ÊÁϾùÀ´×ÔÒѾÐû²¼Ñ§ÊõÆÚ¿¯, ¹Ù·½ÍøÂ籨µÀ, µÈ¹ûÕæÇþµÀ, ²»Éæ¼°Èκα£ÃÜÐÅÏ¢¡£²Î¿¼ÎÄÏ×µÄÑ¡Ôñ¿¼Âǵ½¶àÑù»¯µ«Ò²²»¿ÉÄÜÍ걸¡£½Ó´ý¶ÁÕßÌṩÓмÛÖµµÄÎÄÏ×¼°ÆäÆÀ¹À¡£


ÔÁ¹«Íø°²±¸ 44011202001884ºÅ

ÔÁ¹«Íø°²±¸ 44011202001884ºÅ