ÔÚ¾ºÕùÈÕÒæÃÍÁÒµÄÖÆÒ©ÐÐÒµ£¬Æ¾¾Ý¹æÔò¡¢Ö¸ÄϵȹŰåģʽ½øÐÐÉúÎïÆÊÎö£¬ÒѾÎÞ·¨ÊÊÓ¦²»¾øÔö³¤µÄ×ÊÔ´¡¢Ê±¼ä¡¢Éú²úЧÂʺͼÓËÙ¾ö²ßµÄÐèÇó¡£Í¨¹ýÒ»¸ö·Ö¼¶ÑéÖ¤ÊÊºÏÆäÓÃ;µÄPK LBAÒªÁìµÄ·½·¨£¬¿ÉÒÔÔÚÉúÎïÒ©¿ª·¢µÄÔçÆÚ½×¶Î×ö³ö¿ÆÑ§ºÏÀíµÄ¾ö²ß£¬´Ó¶øÌá¸ßÐÂÒ©¿ª·¢µÄЧÂÊ¡£
±¾ÎĽ«×ÅÖØ½éÉܲ¢ÃèÊöPK LBAÒªÁìÖÐУ׼ÇúÏßµÄÉè¼Æ¡¢Éú³É¡¢±à¼ÒÔ¼°ÄâºÏÄ£ÐͺÍÈ¨ÖØÑ¡ÔñµÄÏà¹ØË¼¿¼ºÍ½¨Òé¡£ÓÉÓÚÆª·ùÓÐÏÞ£¬±¾ÎĽ«½ÓÄÉÉÏÏÂÆªµÄÐÎʽÀ´Õ¹¿ªÂÛÊö£¬¾´Çë´¹×¢£¡
1.µ¼ÂÛ
У׼ÇúÏߣ¨Calibration curve£©´ú±íÁ˼ì²âµ½µÄÏìÓ¦±äÁ¿Óë±ê×¼²ÎÕÕ£¨±È£©Îreference standard£©Å¨¶ÈÖ®¼äµÄ¹ØÏµ£¬Õâ¸ö¹ØÏµ¼Ù¶¨Á˸ñê×¼²ÎÕÕÎïÄܹ»´ú±íÕæÊµ²âÊÔÑù±¾ÖеÄÄ¿±êÆÊÎöÎanalyte of interest£©»ò´ý²âÎï¡£
У׼ÇúÏßÓÃÓÚͨ¹ý²åÖµÅÌË㶨Á¿µØ²â¶¨Ñù±¾ÖÐδ֪Ũ¶ÈµÄ´ý²âÎУ׼ÇúÏߵı¬·¢£¬ÊÇͨ¹ý½«´ý²âÎï¼ÓÈë±»ÅжÏΪÄÜÕæÊµµØ´ú±íÑù±¾µÄ»ùÖÊÖжøÐγÉУ׼Ʒ£¬ËæºóÒÀÕÕδ֪Ñù±¾ºÍÖÊÁ¿¿ØÖÆÑùÆ·£¨QC£©µÄÒÇÆ÷¶Á³öÖµ£¬È»ºóƾ¾ÝУ׼£¨»ò±ê×¼£©ÇúÏß½øÐÐÄÚ²å´Ó¶øÅÌËãδ֪Ñù±¾µÄŨ¶È¡£
ΪÁËÓÅ»¯ÄâºÏ·ÇÏßÐÔУ׼ÇúÏߣ¬Ó¦µ±¿¼ÂÇÈý¸öÒòËØ£º
£¨1£©ÄâºÏƽ¾ùŨ¶ÈÓëÏìÓ¦µÄ¹ØÏµ£»
(2)¶Ô·ÇÏßÐÔ¼ÁÁ¿-ÏìÓ¦ÇúÏßÖеÄÒÑÖª²î±ðÂÊ£¨heteroscedasticity/non-constant response-error relationship£¬·Çºã¶¨µÄÏìÓ¦-Îó²î¹ØÏµ£©Ê¹ÓÃÊʵ±µÄÈ¨ÖØ£»
(3)ʹÓÃÊʵ±µÄÇúÏßÄâºÏËã·¨À´¹ÀËãÄâºÏµÄ²ÎÊý¡£
¶ÔÑù±¾¶¨Á¿µÄ׼ȷ¶ÈÈ¡¾öÓÚ¸ÃÆÊÎöÒªÁìµÄУ׼ÇúÏßµÄÎȽ¡ÐԺͿÉÖØ¸´ÐÔ£¬¸ÃÆÊÎöÒªÁì·´¹ýÀ´ÓÖÈ¡¾öÓÚ²ÎÕÕ£¨±È£©Îreference material£©ºÍÆäËû²âÊÔ×é·Ö£¨assay component£©µÄÐÔÄÜ¡£Ó¦¸ÃÔÚÒªÁ쿪·¢½×¶ÎÖг¹µ×ÆÀ¹ÀÅäÌå½áºÏʽ²âÊÔ£¨LBA£©ÒªÁìµÄ×é³ÉÉí·Ö£¨¼´ÊÔ¼Á£©µÄÐÔÄÜÌØÐÔ£¬ÕâЩ°üÀ¨µ«²»ÏÞÓÚ¹ÌÌå»òÀι̵ÄÍâò£¨Èç96¿×°å£©ºÍ²¶»ñ/¼ì²â¿¹Ì塣ͬʱ£¬Ó¦µ±Öƶ¨Êʵ±µÄ¼Æ»®£¬ÒÔ¼à¿ØÅú´Î¼äÏà¹ØÊÔ¼ÁµÄÒ»ÖÂÐÔ¡£
±ðµÄ£¬Ïà¹Ø¹æÔòÖ¸µ¼ÎļþºÍ¸ÃÁìÓòר¼ÒÐû²¼µÄÖ¸µ¼ÐÔÎļþÖнç˵ÁËÉè¼ÆÐ£×¼ÇúÏßµÄÒ»°ãÒªÇó¡¢Ð£×¼ÑùÆ·µÄÑéÊÕ±ê×¼ÒÔ¼°ÈçºÎÑ¡ÔñÊʵ±µÄ»Ø¹éÄ£ÐÍ¡£×ñÊØÕâЩÒÑÐû²¼µÄ×¼ÔòºÍÒªÇó¿ÉÌá¸ßУ׼ÇúÏߵĿÉÖØ¸´ÐÔ£¨¿çÔËÐкͿçÑо¿£©¡£
×ÜÖ®£¬Ã¿¸öÉúÎïÆÊÎöʵÑéÊÒ¶¼ÓÐÔðÈÎÔÚÆä±ê×¼²Ù×÷³ÌÐò£¨SOPs£©Öнç˵LBAУ׼ÇúÏßµÄÉè¼Æ¡¢±¬·¢¡¢ÑéÊպͱ༱ê×¼¡£±¾ÎÄÖ¼ÔÚΪ±¬·¢Ð£×¼ÇúÏßÒÔ¼°´¦ÀíУ׼ƷÊý¾ÝµãÌṩ½¨ÒéºÍ×î¼Ñ×ö·¨¡£ËäÈ»±¾ÎĵÄÄÚÈÝÒ²¿ÉÄÜÊÊÓÃÓÚijЩÉúÎï±ê¼ÇÎïµÄ¼ì²âÒªÁ죬µ«ÆäÖØµãÈÔÈ»ÊÇÓÃÓÚ¶¨Á¿Ò©´ú¶¯Á¦Ñ§(PK)µÄLBAsµÄУ׼ÇúÏß¡£ÆäËûËùÓеIJâÊÔÀàÐÍ»ò»¨Ñù¶¼Ôݲ»ÌÖÂÛ¡£
LBAsºÍÉ«Æ×ÆÊÎöÒªÁìµÄУ׼ÇúÏßÖ®¼ä±£´æ×ÅÒªº¦Çø±ð¡£ÔÚLBAsÖУ¬ÒÇÆ÷ÏìÓ¦¿ÉÄÜÓë´ý²âÎïµÄŨ¶È³ÊÕý±È¹ØÏµ£¨directly£©£¬Ò²¿ÉÄÜÓë´ý²âÎïŨ¶È³Ê·´±È¹ØÏµ£¨inversely£©£¬ÕâÈ¡¾öÓÚ¸ÃÆÊÎöÒªÁìÊǷǾºÕùÐÔÕվɾºÕùʽµÄ¡£ÎÞÂÛ½ÓÄɺÎÖÖ»¨Ñù£¬¿ÉÒÔʹÓðë¶ÔÊý×ø±êϵ£¨semi-log scale£©½«ÇúÏßת»»³ÉÏìÓ¦Óë´ý²âÎïŨ¶ÈÖ®¼äµÄSÐ͹ØÏµ¡£ÕâÓëÉ«Æ×ÆÊÎöÒªÁì²î±ð£¬ÔÚÉ«Æ×ÆÊÎöÖУ¬ÒÇÆ÷ÏìӦͨ³£ÊÇŨ¶ÈµÄÏßÐÔº¯Êý£¬Á½ÕßÔÚ´ó´ó¶¼Ð£×¼ÇúÏß¹æÄ£ÄÚÊdzʳÉÕý±ÈÀý¹ØÏµµÄ¡£¹ØÓÚÉ«Æ×·¨À´Ëµ£¬ÏßÐÔ¹ØÏµµÄɥʧ±êÃ÷¸ÃÒªÁìÒѾµÖ´ïÁËËüµÄ¼ì²â¼«ÏÞ¡£
LBAsÒªÁìÒÀÀµÓÚ´ý²âÎïÓë½áºÏÊÔ¼Á£¨È翹Ìå»òÊÜÌ岿·Ö£©µÄÏ໥×÷Ó㬶øÕâÓë¹Å°åµÄÉ«Æ×ÆÊÎö²î±ð£¬ÔڹŰåµÄÉ«Æ×ÆÊÎöÖУ¬´ý²âÎïµÄ¼ì²â²»ÒÀÀµÓÚÆäÓëij¸ö´ó·Ö×ӵĽáºÏ£¨binding£©¡£ÂѰ×ÖÊ-ÂѰ×ÖÊÏ໥×÷ÓõĶ¯Ì¬Æ½ºâÐÔÖʵ¼ÖÂÁËLBAsµÄ·ÇÏßÐÔÏìÓ¦¡£±ðµÄ£¬ÓÉÓÚLBAsµÄЧÄÜÔںܺéÁ÷ƽÉÏÈ¡¾öÓÚÆäËùʹÓõÄÉúÎïÊÔ¼ÁµÄÐÔÄÜ£¬Òò´ËÆä¼ì²â½á¹ûÍùÍùÌåÏÖ³ö½Ï´óµÄ±äÒìÐÔ£¨variance£©¡£
·ÇÏßÐÔµÄLBAУ׼ÇúÏßÏÞÖÆÁËÇúÏßÉ϶˺Í϶˵ÄŨ¶È-ÏìÓ¦µÄÏà¹ØÐÔ£¬Ê¹µÃÇúÏß´¦ÓÚÆ½Ì¨×´Ì¬£¬Òò´ËÐγÉSÐÍÇúÏß¡£Ôڵ䷶µÄsigmoidalУ׼ÇúÏßÖУ¬Ï²¿Æ½Ì¨£¨½¥½üÏßasymptote£©¼°ÆäËÄÖÜ´ú±íÁËÅä¾°ÏìÓ¦£¬Éϲ¿Æ½Ì¨´ú±í½Ó½ü×î´óÏìÓ¦¡£Í¨³£ÈÏΪ4PLÄ£ÐÍÊÇÄâºÏ´ËÐÎ״У׼ÇúÏßµÄÊ×Ñ¡¡£ÁíÍ⣬ÔÚУ׼ÇúÏߵĽ¥½üÏß(ÉÏ¡¢ÏÂÆ½Ì¨²¿·Ö)ÉϽøÐж¨Á¿½«µ¼Ö±¬·¢½Ï²îµÄ¾«ÃܶȺÍ׼ȷ¶È¡£ÕâÐ©ÌØÐÔ×îÖÕËõСÁËLBAÒªÁìµÄÓÐЧ¶¨Á¿¹æÄ££¬Ê¹µÃÑ¡ÔñºÏÊʵķÇÏßÐÔÊý¾ÝÄâºÏËã·¨±äµÃÔ½·¢ÖØÒª¡£
ÓжàÖÖÉÌÒµÈí¼þ¿ÉÓÃÀ´Ö´ÐÐLBAsµÄ·ÇÏßÐԻع顣´ó´ó¶¼ÆÊÎöÒÇÆ÷ÖÆÔìÉ̾ùÓÐÌṩÓëÉ豸¼æÈݵķÇÏßÐԻعéÈí¼þ¡£ÊµÑéÊÒ¿ÉÑ¡Ôñ×°ÖöÀÁ¢Èí¼þ»òʹÓÃÆäʵÑéÊÒÐÅÏ¢ÖÎÀíϵͳ(LIMS)À´½øÐлعéÄâºÏ£¬¾ßÌåÈ¡¾öÓÚÄÄÖÖÈí¼þ¸üÄÜÂú×ãÆäÐèÒªºÍÒªÇó¡£
ÓÃÓÚÄâºÏLBAУ׼ÇúÏßµÄÈí¼þÓ¦¸Ã¾ßÓÐʹÓÃ4¸öºÍ5¸ö²ÎÊýlogisticÄ£ÐÍ£¨Four and five parameter logistic regression£¬4ºÍ5 PL£©½øÐлعéÆÊÎöµÄÄÜÁ¦£¬²¢ÇÒÄܹ»£º
Ä¿½ñ£¬Ò»Ð©ÉúÎïÆÊÎöÖ¸ÄÏ»ò¹æÔòÎļþµÄÉúÎïÆÊÎö²¿·ÖÒѾ¶ÔУ׼±ê×¼ÇúÏßµÄ×îµÍÒªÇó½øÐÐÁËÈ·¶¨¡£ÕâЩָµ¼ÐÔÎļþ¶ÔLBAÇúÏßµÄÐèÇóºÍÐÔÄÜÔ¤ÆÚͨ³£ÊÇÏ໥һÖµġ£±í1×ܽáÁËÀ´×ÔÃÀ¹úʳƷºÍÒ©ÎïÖÎÀí¾Ö(FDA)¡¢Å·ÖÞÒ©Æ·ÖÎÀí¾Ö(EMA)¡¢ÈÕ±¾ÎÀÉú¡¢ÀͶ¯ºÍ¸£Àû²¿(MHLW)ºÍ°ÍÎ÷ÎÀÉú¼à¹Ü»ú¹¹(ANVISA)¶ÔУ׼ÇúÏßµÄÒªÇó¡£FDAºÍEMAÖ¸ÄÏÊǾø´ó´ó¶¼ÉúÎïÆÊÎöʵÑéÊÒ×ñ´ÓµÄÖ÷ÒªÖ¸ÄÏ¡£¸÷¸öÖÆÒ©³§ÉÌӦƾ¾Ý¸÷×Լƻ®ËùÌá½»µÄÐÂÒ©ÉóºË¼à¹Ü»ú¹¹À´¾ö¶¨×ÔÉíÐèÒª×ñ´ÓµÄÖ¸ÄϹæÔò¡£

У׼±ê׼Ʒ£¨Calibrator standards£©ÊÇͨ¹ý½«ÒÑ֪Ũ¶ÈµÄ²ÎÕÕ£¨±È£©Ò©Îï¼ÓÈëµ½ÓëÑо¿Ñù±¾»ùÖÊÏàͬ»òÒ»Öµģ¬¾¹ýÈÏÖ¤µÄ»ùÖÊ£¨matrix£©Öжø±¬·¢µÄ¡£ÕâЩУ׼±ê׼ƷµÄŨ¶È¡ª¡ªÏìÓ¦¹ØÏµÔòÈ·¶¨Á˸òâÊÔÒªÁìµÄУ׼ÇúÏß¡£ÔÚÉæ¼°¶àÖÖÒ©ÎïÁªºÏʹÓõÄÑо¿ÖУ¬Ñо¿Ñù±¾ÖеÄÿ¸ö´ý²âÎï¶¼ÐèÒªÒ»ÌõУ׼ÇúÏß¡£Ð£×¼±ê׼ƷµÄÖÆ±¸±ØÐë¶ÀÁ¢ÓÚÖÊÁ¿¿ØÖÆÑùÆ·£¨QCs£©£¬ÒÔÖÆÖ¹Ç±ÔÚµÄÒ©Îï¼ÓÈëÔì³ÉÎó²îµÄÀ©É¢»ò·Å´ó¡£
ÕâÒâζ×ÅУ׼±ê׼ƷºÍQCs¿ÉÄܲ»¿ÉʹÓÃÏàͬÖмä¿â´æµÄÒ©Îï²ÎÕÕ£¨±È£©Æ·À´ÖƱ¸£¬µ«¿ÉÒÔͨ¹ýÁ¬ÐøÏ¡ÊÍÒ©Îï²ÎÕÕ£¨±È£©Æ·µÄ³õ¼¶»òÖм¶¿â´æÀ´ÖƱ¸Ð£×¼±ê׼Ʒ¡£ÖƱ¸Ð£×¼±ê׼Ʒ²»ÐèÒªÔÚÿ¸öŨ¶ÈˮƽÉϵ¥¶ÀÍâ¼ÓÒ©Îï²ÎÕÕ£¨±È£©Æ·À´ÖƱ¸£¬¾¡¹ÜÕâÖÖ×ö·¨Òâζ×ÅÐèÔÚ¸ü¸ßÒ»¼¶µÄˮƽÉ϶ÔУ׼ÇúÏßµÄÖÊÁ¿¿ØÖÆ£¬²¢¿ÉÒÔ¼à²âÍâ¼ÓÒ©Îï²ÎÕÕ£¨±È£©Æ·µÄ¾«È·¶È¡£ÎÞÂÛÒ©Îï²ÎÕÕ£¨±È£©Æ·µÄÖмä¿â´æ×é³ÉÈçºÎ£¬Ð£×¼±ê׼ƷӦ°üÀ¨ÖÁÉÙ95%µÄÑо¿Ñù±¾»ùÖÊ¡£
ʹÓÃLBAsÒªÁìµÄÆÚÍûÊÇÔÚ¿ÉÄܵÄÇé¿öÏ£¬¾¡Ò»ÇÐŬÁ¦ÔÚÉúÎï»ùÖÊÖÐÖÆ±¸Ð£×¼±ê׼Ʒ£¬¸ÃÉúÎï»ùÖÊÔÚÎïÖÖ¡¢×é³É³É·ÝºÍ»ùÖÊÔ¤´¦ÀíµÈ·½Ãæ±ØÐëÓëÑо¿Ñù±¾µÄ»ùÖÊÏàÆ¥Åä¡£ÀýÈ磬ÈôÑо¿Ñù±¾ÊÇδ¾¹ýÂ˵ÄѪÇ壬ÄÇÃ´ÖÆ±¸Ð£×¼±ê׼ƷµÄ»ùÖÊÒ²±ØÐëÊÇÀ´×ÔÏàͬÎïÖÖµÄδ¾¹ýÂ˵ÄѪÇå¡£ÐèҪעÒâµÄÊÇ£¬Ñо¿ÈËȺͨ³£ÊǰéÓÐÏà¹ØµÄ¼²²¡£¬¶øÐ£×¼Æ·»ùÖÊ£¨calibrator matrix£©ÔòÊÇÀ´×ÔÓÚ½¡¿µµÄÊÜÊÔÕß¡£Èç¹ûûÓÐÆäËû¿´´ý²âÎï×ö¶¨Á¿ÆÊÎöµÄÒªÁ죬ÄÇôÓÃÌæ´ú»ùÖÊÀ´ÖƱ¸Ð£×¼Æ·Ò²ÊǺÏÀíµÄ£¬ÀýÈçµ±Ñо¿Ê¹ÓõĻùÖÊϡȱ»òºÜÄÑ»ñµÃʱ,µ±Ñо¿Ò©ÎïÓÐÄÚÔ´ÐÔͬԴÎïʱ,ÔÚ¶ÔÉúÎï±ê¼ÇÎï½øÐмì²âʱµÈ¡£
µ±Ê¹ÓÃÌæ´ú»ùÖÊÀ´ÖƱ¸Ð£×¼Æ·Ê±£¬¸ÃÉúÎïÆÊÎöÒªÁìÓ¦¸ÃʹÓÃÑо¿Ñù±¾»ùÖÊÖÆ±¸µÄQCsºÍÑо¿»ùÖÊÑ¡ÔñÐÔÑù±¾£¨study matrix selectivity sample£©½øÐÐÑéÖ¤£¬²¢ÓëÌæ´ú»ùÖÊÖÐÖÆ±¸µÄУ׼ÇúÏß½øÐÐ±È½ÏºÍÆÀ¹À¡£³ý´ËÖ®Í⣬»¹½¨ÒéÆÊÎöÕß½øÐÐÆäËûÊÔÑ飬ÒÔÖ¤Ã÷Ìæ´ú»ùÖÊÓëÑо¿»ùÖʵÄÏ¡ÊÍÇúÏßÁ½ÕßÖ®¼äµÄ¿É±ÈÐÔ¡£Ò»ÖÖÆÕ±é½ÓÊܵÄÒªÁìÊDzâÊÔÉÏϽ¥½üÏß¡¢Ôö³¤ÂÊ£¨growth rate£©ÒÔ¼°5PLÇúÏßÖÐ²î³Ø³ÆÒò×ӵĵÈͬÐÔ¡£Ä¿½ñÒµ½çÄÚÒÑÌá³öÈçºÎ²âÊÔÆ½ÐÐÐÔ£¨parallelism£©µÄÒªÁ죬ƽÐÐÐÔ²âÊÔÊÇÒ»¸öÆÀ¹ÀLBAÒªÁìÏàÃé׼ȷÐԵĻù±¾ÊµÑ顣̫ͨ¹ýÎöÏ¡ÊͶԻùÖÊÖÐÄÚÔ´ÐÔ´ý²âÎﶨÁ¿µÄÓ°Ï죬¿ÉÒÔÔÚµ¥¸öʵÑéÖÐÆÀ¹À¸Ã²âÊÔÒªÁìµÄÑ¡ÔñÐÔ¡¢»ùÖÊЧӦ¡¢ËùÐèµÄ×îСϡÊÍÂÊ¡¢½¡¿µºÍ»¼²¡ÈËȺµÄÄÚÔ´ÐÔ´ý²âÎïµÄˮƽÒÔ¼°LLOQ¡£
ÕâЩµÈЧÐÔ²âÊԵĽÓÊܱê×¼ÉÐδȷ¶¨£¬µ«ÒÑÔÚÒµ½ç¹ã·ºÌÖÂÛ¡£Í¼1ÌṩÁËÔÚÈËѪ½¬ÖÐÖÆ±¸µÄУ׼ÇúÏßµÄʾÀý£¬Í¬Ê±Ò²ÌṩÁËÔÚ»º³åÒº£¨Ìæ´ú»ùÖÊ£©ÖÐÖÆ±¸µÄУ׼ÇúÏß¡£ËüÃÇÊÇÁ½ÌõƽÐеÄÇúÏß¡£

У׼ÑùÆ·¿ÉÓÃ100%»òÒÔ×îµÍÏ¡ÊͶÈ(minimum required dilution£¬MRD)Ï¡ÊͺóµÄ»ùÖÊÅäÖÆ¡£Ê¹ÓÃMRDÏ¡ÊÍ»ùÖʵÄÒªÁìµÄÀý×Ó°üÀ¨µ«²»ÏÞÓÚÏ¡ÓлùÖÊ»òÔÚ×Ô¶¯»¯Æ½Ì¨ÉÏÖ´ÐеÄÒªÁ죬ÔÚÕâЩƽ̨ÉÏʹÓÃ100%»ùÖÊ¿ÉÄÜ»áÓÉÓÚÓÐÏ޵Ŀɼ°ÐÔ£¨limited availability£©»òÓÉÓÚ»ùÖʵÄÕ³¶È¶ø³ÉΪÎÊÌâ¡£ÔÚÒªÁ쿪·¢Àú³ÌÖУ¬Ó¦Æ¾¾Ý²âÊÔÒªÁìÐÔÄÜÀ´¾ö¶¨Ð£×¼ÑùÆ·ÊÇÓÃ100%µÄ»ùÖÊÕÕ¾ÉÓÃMRDÏ¡Ê͵ĻùÖÊÖÆ±¸£¬Ó¦Æ¾¾Ý¾ßÌåµÄʵ¼ÊÇé¿ö½øÐÐÊʵ±µÄÆÀ¹À£¬ÒÔÈ·±£Ð£×¼ÑùÆ·ºÍQCµÄ½ÓÄÉÂÊÔÚÀíÂÛÖµµÄÔ¤ÆÚ¹æÄ£ÄÚ£¨ÀýÈ磬¡À20%£©¡£µ±ÔÚ100%»ùÖÊÖÐÖÆ±¸Ê±£¬Ð£×¼ÑùÆ·ÐèÒªÒÔÓÃÓÚQCsºÍÑо¿ÑùÄÚĻͬµÄMRDÀ´Ï¡ÊÍ¡£Î´ÖªÑùÆ·»ØËãµÄŨ¶ÈÓ¦±¨¸æÎª100%»ùÖÊÖеÄŨ¶È¡£
ÔÚÉúÎïÆÊÎöÓ¦ÓÃÖУ¬Ñ¡ÔñÈÏÖ¤ºóµÄ»ìÏý»ùÖÊ£¨qualified matrix pool£¬QMP£©µÄÀú³ÌÖÁ¹ØÖØÒª¡£½¨ÒéÈÏÖ¤ºÍÖü´æ×ã¹»µÄ»ìÏý»ùÖÊ£¬È·±£×ãÒÔÓÃÀ´Íê³ÉÒªÁ쿪·¢¡¢ÑéÖ¤ºÍÖÁÉÙµÚÒ»´ÎÑо¿ÖÐÑùÌìÖ°Îö¡£»¹½¨Ò齫QMPÖü±£´æÓëQCsºÍÑо¿ÑùÄÚĻͬµÄÌõ¼þÏ¡£ÀýÈ磬Èç¹ûÑù±¾µÄÖü´æÎ¶ÈСÓÚ»ò¼´ÊÇ-65¡æ£¬ÔòQMPÒ²Ó¦Öü±£´æ¸ÃζȹæÄ£ÄÚ¡£
ÔÚÒªÁ쿪·¢Àú³ÌÖУ¬¿ÉÒÔɸ²é¡¢Ñ¡ÔñºÍºÏ²¢µ¥¸ö»ùÖÊÑù±¾»òµ¥¸ö»ìÏý»ùÖÊÀ´Éú³ÉQMP£¬ÉÌÒµÀ´Ô´µÄ»ìÏý»ùÖÊÒ²¿ÉÄÜÊÊÓá£QMPɸ²éÓ¦°üÀ¨ÆÀ¹À¶ÔδÍâ¼ÓºÍÍâ¼ÓÁË´ý²âÎïµÄ»ùÖÊÑùÆ·µÄ¼ì²âÐźš£ÀýÈ磬³öÓÚɸ²éµÄÄ¿µÄ£¬¿ÉÒÔÔÚµ¥¸ö»ùÖÊÑù±¾¼ÓÈëÏ൱ÓÚLLOQˮƽµÄ´ý²âÎï¡£¾ßÓиßÅä¾°»ò¼Ó±ê½ÓÄÉÂÊȱ·¦¸ñµÄ»ùÖÊÑùÆ·Ó¦ÅųýÔÚQMPÖ®Íâ¡£»ùÖÊÑùÆ·µÄÑéÊÕ±ê×¼µÄÒ»¸öʵÀý¿ÉÒÔÊÇ£ºÊ¹ÓÃQMPÖÆ±¸µÄУ׼ÇúÏߣ¬ÖÁÉÙÓÐ80%µÄËùÓе¥¸ö»ùÖÊÑùÆ·µÄ¼Ó±ê½ÓÄÉÂÊÔÚÀíÂÛŨ¶ÈµÄ80%ÖÁ120%Ö®¼ä¡£QMPÓ¦¸ÃÄÜ´ú±íÑо¿ÈËȺ£¬Í¨¹ý»ìÏýÂú×ã½ÓÊܱê×¼µÄ¸öÌå»ùÖÊÑùÔÀ´ÖƱ¸¡£
LBAУ׼ÑùÆ·¿ÉÒÔÊÇÐÂÏÊÖÆ±¸µÄ»òÕßÀä¶³µÄ¡£²»ÉÙʵÑéÊÒÔÚËùÓн׶Îϰ¹ßʹÓÃÐÂÖÆ±¸µÄУ׼ÑùÆ·£¬°üÀ¨ÒªÁ쿪·¢¡¢Ñо¿Ç°ÑéÖ¤ºÍËæºóµÄÉúÎïÆÊÎö¡£ÐÂÏʵÄУ׼ÑùÆ·¿ÉÒÔ´ÓÔʼ»òÖмä²Î¿¼±ê×¼µÄ¿â´æ£¨original or intermediate reference standard stock£©Öе÷È¡¡£Èç¹ûʹÓÃÖмä²Î¿¼±ê×¼£¬±ØÐëÔÚÐû²¼ÑéÖ¤±¨¸æÖ®Ç°È·¶¨ÆäÎȶ¨ÐÔ¡£ÔÚÑо¿Ç°µÄÒªÁìÑéÖ¤ÖУ¬Ê¹ÓÃÐÂÖÆ±¸µÄУ׼ÑùÆ·À´ÆÀ¹ÀÀä¶³µÄQCs£¬¿ÉÒÔ¿ª¶Ë½¨Á¢QCsµÄÎȶ¨ÐÔ¡£
Ò»µ©¿ª¶ËÈ·Á¢ÁËQCµÄÎȶ¨ÐÔ£¬ÊµÑéÊҾͿÉÒÔÀûÓÃÕâЩÐÅÏ¢À´ÖƱ¸ºÍ´¢/¶³´æµ¥¸öУ׼ÑùÆ·¡£Èç¹û½«LLOQºÍULOQÑùÆ·°üÀ¨ÔÚÎȶ¨ÐÔ²âÊÔÖУ¬ÇÒÎȶ¨ÐÔ²âÊÔ´°¿ÚÁýÕÖÁËУ׼ÑùÆ·µÄ´æ´¢ÆÚ£¬Ôò´ËÒªÁì¾ÍÊÇ¿ÉÒÔ½ÓÊܵġ£Ô¤ÏÈÈÏÖ¤ºÍ¶³´æÐ£×¼ÑùÆ·µÄÄ¿µÄÊǼõÉÙ²âÊÔÔËÐÐÖ®¼äµÄ±äÒìÐÔºÍÌá¸ß²Ù×÷ЧÂÊ¡£¶³´æµÄУ׼ÑùÆ·Ó¦·Ö×°ÔÚ×ã¹»Ò»´ÎÐÔʹÓõÄÈÝÆ÷ÖУ¬²¢Ó¦ÖÆÖ¹Ð£×¼ÑùÆ·µÄÖØ¸´ÈÚ¶³¡£
¼à¹Ü»ú¹¹ÎªÐ£×¼ÇúÏßµÄÉè¼ÆÌṩÁËÖ¸ÄÏ¡£ÒÔÏÂÊÇÖ¸ÄÏ×¼ÔòµÄ¼ò¶Ì×ܽá:
ULOQºÍLLOQ»®·Ö´ú±í¶¨Á¿ÆÊÎö¹æÄ£µÄÉÏÏÞºÍÏÂÏÞ£¬±ØÐë×÷ΪÑо¿Ç°ÑéÖ¤µÄÒ»²¿·Ö½øÐÐÑéÖ¤¡£ÎªÁËÑéÖ¤LLOQºÍULOQУ׼ÑùÆ·£¬½ö½öÔÚÕâЩ¼¶±ðÉϰüÀ¨Ð£×¼ÑùÆ·ÊDz»·óµÄ£¬»¹ÐèÒªÔÚLLOQºÍULOQˮƽÉÏÖÆ±¸ÑéÖ¤ÑùÆ·(QCs)£¬ÕâЩQCs±ØÐë°üÀ¨ÔÚÑо¿Ç°ÑéÖ¤µÄ׼ȷ¶ÈºÍ¾«ÃÜ¶ÈµÄÆÀ¹ÀÖС£ULOQУ׼ÑùÆ·±ØÐë»®·ÖÂú×ãÏà¶ÔÎó²î(RE)Ϊ¡À20%ºÍ±äÒìϵÊý(CV)Ϊ¡Ü20%µÄ½ÓÊܱê×¼£»LLOQУ׼ÑùÆ·Ôò±ØÐë»®·ÖÂú×ãFDAÖ¸ÄÏÖл®¶¨µÄ¡À25%µÄREºÍ¡Ü25%µÄCV£¬²Å»ª±»ÄÉÈëУ׼ÇúÏß¡£Ò»µ©¾¹ýÑéÖ¤£¬LLOQºÍULOQˮƽУ׼ÑùÆ·½«³ÉΪУ׼ÇúÏßµÄÒ»¸ö×é³É²¿·Ö£¬²¢ÇÒ±ØÐë°üÀ¨ÔÚÿ´Î²âÊÔÔËÐÐÖС£
Ñо¿ÖÐÿ¸ö´ý²âÎïÔÚÿ´ÎÆÊÎö²âÊÔÔËÐÐÓ¦µ±ÓÐÒ»ÌõУ׼ÇúÏߣ¬Ð£×¼¹æÄ£±ØÐëÊʺϲ¢ÇкÏÑо¿ÑùÆ·Öдý²âÎïµÄÔ¤ÆÚŨ¶È¹æÄ£¡£Ò»°ãÀ´Ëµ£¬¿í´óµÄ¶¨Á¿¹æÄ£ÓÐÖúÓÚÒ»´ÎÐԵض¨Á¿ÆÊÎöº¬Óдó¹æÄ£´ý²âÎïŨ¶ÈµÄ´ó×ÚÑù±¾¡£ÏÁյ͍Á¿¹æÄ£ÔòÏÞÖÆÁ˸òâÊÔÒªÁìµÄÆÊÎöÄÜÁ¦£¬µ¼Ö²»ÐëÒªµÄÖØ¸´ÆÊÎö£¬¼´ÐèÒªÌØ±ðÏ¡ÊÍ´Ó¶øÊ¹Ñù±¾Å¨¶È½øÈëУ׼ÇúÏß¹æÄ£¡£ËäÈ»½«´ý²âÎïŨ¶ÈΪÁãµÄУ׼ÑùÆ·½ç˵Ϊ²»º¬´ý²âÎïµÄ»ùÖÊÑùÆ·²»ÊDZØÐëµÄ£¬µ«¿ÉÄÜÊÇÓÐÒæµÄ¡£
ĿǰµÄ½¨ÒéÊǶÔLBAУ׼ÑùÆ·½øÐÐÖØ¸´£¨duplicate£©ÆÊÎö£¬¾¡¹Ü±ä¸ïÇ÷ÊÆÈç¸ßCVs£¬¿ÉÄÜÐèÒª½øÐÐÈý´Î£¨triplicate£©¸´²â¡£Ö»ÓÐÔÚ¸ÃÒªÁìµÄÁ¿»¯¹æÄ£ÄÚÖ¤Ã÷ÁËÔʼÏìÓ¦µÄÎȽ¡ÐԺ͸߾«ÃܶȵÄÇé¿öÏ£¬²Å»ªÈÏΪʹÓõ¥´ÎÕÉÁ¿£¨µ¥¿×singlicate£©ÊǺÏÀíµÄ¡£
2012ÄêEMAÉúÎïÆÊÎöÖ¸ÄÏÖÐÌÖÂÛÁË·ÇÏßÐԻعéÄâÊÊʱ궨µãµÄ×÷Ó㬲¢ÔÚÕû¸öÐÐÒµÖÐÍÆ¼öʹÓÃ궨µã¡£Ãª¶¨µã±»½ç˵ΪÔÚ²âÊÔÒªÁìµÄ¶¨Á¿¹æÄ£Ö®ÉϺÍ֮ϵÄУ׼ÑùÆ·£¬µ«ËüÃDz»ÊÜÓëУ׼ÇúÏßµãÏàͬµÄÐÔÄÜÒªÇóµÄÔ¼Êø¡£Ãª¶¨µãµÄ¼ÛÖµºÍÔڻعéÆÊÎöʱʹÓÃ궨µã²¢²»ÊDZ»ÆÕ±é½ÓÊܵģ¬¿ÉÊǽ¨Ò齫ËüÃÇ×÷ΪҪÁ쿪·¢Àú³ÌµÄÒ»²¿·Ö£¬²¢ÆÀ¹ÀËüÃǶԸÄÉÆÕûÌ廨¹éÆÊÎöµÄ×÷Óá£
ʹÓÃ궨µãÊÇ·ñÄܸÄÉÆÇúÏßÄâºÏ£¬Ó¦»ùÓÚËùÌá³öµÄÊýѧËã·¨»ò¼ÓȨÒò×Ó£¬²¢Ó¦ÔÚ¸ö°¸»ù´¡ÉÏÈ·¶¨¡£Ãª¶¨µã¿ÉÄÜÌØ±ðÓÐÖúÓÚÔöÇ¿ÇúÏßÄâºÏ£¬²»µ«ÔÚÌ«¹ý¿í´ó»òÏÁÕµÄУ׼ÇúÏßµÄÇé¿öÏ£¬²¢ÇÒÔÚʹÓüÓȨÒò×ÓµÄУ׼ģÐÍÖÐÒ²ÊÇÈç´Ë¡£ÔÚijЩÇé¿öÏ£¬Î»ÓÚLLOQÒÔϵÄ궨µãÔöÇ¿ÁËÇúÏßµÄÄâºÏ£¬²¢ÓÐÖúÓÚLLOQÂú×ãÆä½ÓÊܱê×¼¡£
Ŀǰ¼à¹Ü»ú¹¹ÉÐδ¾ÍУ׼ÑùÆ·Ö®¼äµÄ¼ä¾àºÍULOQ/LLOQÐźűÈ×÷³öÃ÷ÎÄÖ¸µ¼¡£Ò»°ãÍÆ¼öʹÓÃÏàµÈµÄУ׼ÑùÆ·µÄ¼ä¾à£¬Èç½ÓÄɶÔÊý¿Ì¶È£¨ÀýÈ磬on a logarithmic scale of the power of 2£©£¬ÕâÓÐÀûÓÚ¸ÄÉÆ²âÊÔÒªÁìµÄÐÔÄÜ¡£
У׼ÑùƷŨ¶ÈµÄÑ¡Ôñ²¿·ÖÊÇ»ùÓÚÒÔϵÄʵ¼Ê¿¼ÂÇ£º¼´ÔÚ½øÐжà¸ö²âÊÔÔËÐÐʱ£¬Ò×ÓÚÖÆ±¸ºÍÎÞ¹ýʧµØ¸´ÖÆÐ£×¼Æ·Å¨¶È¡£½¨ÒéÆÊÎöÕßʹÓÃϵÁÐÏ¡ÊÍ£¨serial dilution£©µÄÒªÁ죬²¢Ê¹ÓÃÒ»¸öÀι̵ÄÏ¡ÊͱÈÀý£¨Ê¹ÓÃÓë±»ÆÊÎöµÄʵ¼ÊÑùÄÚĻͬµÄ»ùÖÊÏ¡ÊÍУ׼Ʒ£©¡£×îÖÕ½á¹ûÊÇ£¬Ð£×¼Æ·ÔÚŨ¶È¹æÄ£µÄ¶ÔÊý¿Ì¶ÈÉϵļä¸ô´óÖ¾ùÔÈ/ÏàµÈµÄ¡£ÔÚÕâЩÌõ¼þÏ£¬RockeºÍJonesÈ·¶¨ÁËУ׼ƷµÄ×î¼ÑÏ¡ÊͱÈÀý£¬¸Ã±ÈÀýͨ³£Îª2£º1»ò3£º1¡£2£º1µÄϵÁÐÏ¡ÊÍÓë6¸öУ׼ƷŨ¶È½«±¬·¢Ò»ÏµÁÐÈç1X£¬2X£¬4X£¬8X£¬16X£¬32X£¨Ï¡Êͱ¶±ÈΪ2n: n = 0,1,2,3,4,5µÄÇúÏߣ©¡£¹ØÓڵ䷶µÄÏìÓ¦µÝ¼õÇúÏߣ¨D<A£©£¬RockeºÍJonesµÄÑо¿Ò²ÏÔʾ£¬Èç¹ûʹÓÃ×î¼Ñ¼ä¾à£¬Ð£×¼Æ·Å¨¶ÈÇúÏßµÄÖеãÓ¦ÂÔ¸ßÓÚÔ¤ÆÚµÄIC50Ũ¶È£¨µ±LBAÓÃÓÚ»îÐÔ²â׼ʱ£©¡£ÕâÒâζ×ÅÔÚÇúÏß½ÏС·½²î£¨variance£©µÄÇøÓòÓиü¶àµÄУ׼µã¡£¹ØÓÚÉÏÊö2£º1µÄÏ¡ÊͱÈÀý£¬Ó¦µ÷½âX£¬ÒÔ±ãËùÔ¤ÆÚµÄIC50 Ũ¶ÈλÓÚ8XÏ¡Ê͵ÄУ׼Ũ¶ÈµãËÄÖÜ¡£¿ÉÒÔÌí¼ÓÌØÁíÍâУ׼ÑùÆ·£¨Èç¹ûÒѰüÀ¨ÔڻعéÄ£ÐÍµÄÆÀ¹ÀÖУ©À´¸üºÃµØ½ç˵У׼ÇúÏߵĹյ㣨inflection point£©¡£
ÔÚLLOQËÄÖܼÓÈë¸ü½ôÃÜÏàÁÚµÄУ׼ÑùÆ·¿ÉÄÜÓÐÖúÓÚÔÚLLOQʧЧʱ£¬½«ÁéÃô¶ÈµÄËðʧ½µµ½×îµÍ¡£ÔÚУ׼ÇúÏßÖаüÀ¨ÁãŨ¶ÈµÄУ׼ÑùÆ·²»ÊǼà¹Ü»ú¹¹µÄÒªÇó»ò±ê×¼×ö·¨£¬È»¶ø£¬Èç¹ûÒ»¸öʵÑéÊÒÑ¡Ôñ½«Áã×÷ΪУ׼ÇúÏßÄâºÏµÄÒ»²¿·Ö£¬Ôò½¨ÒéÔÚLLOQºÍÁãУ׼ÑùÆ·Ö®¼äÁôÓÐ×ã¹»µÄ¼ä¾à£¬ÒÔ±£»¤LLOQ²»»áʧ°Ü¡£ÀýÈ磬2012ÄêµÄEMAÖ¸ÄÏ»®¶¨LLOQµÄÐźÅÖÁÉÙÊǿհ×Ñù±¾ÐźŵÄ5±¶¡£Ã¿¸öʵÑéÊÒӦƾ¾Ý²âÊÔÒªÁìµÄЧÄÜ£¨performance£©ÎªÆäÈ·¶¨Êʵ±µÄ¼ä¾à¡£
ULOQ/LLOQŨ¶È±ÈÊܲâÊÔ»¨Ñù£¨format£©¡¢Æ½Ì¨£¨platform£©ºÍÊÔ¼ÁÌØÐÔµÄÓ°Ï졣ʵÑéÊÒµÄÄ¿±êÓ¦¸ÃÊÇ×î´óÏ޶ȵØÌá¸ßULOQ/LLOQŨ¶È±È£¬²¢¿ÉÉ趨Æä×îµÍÄ¿±ê£¬Èç10/1¡£
Ñ¡ÔñÒ»¸öºÏÊʵķÇÏßÐԻعéÄ£ÐÍÐèÒª¾¹ý¶à´Îµü´ú²Å»ª»ñµÃLBAУ׼ÇúÏßµÄ×î¼ÑÄâºÏ¡£Ä¿Ç°µÄ¼à¹ÜÖ¸ÄÏÊǽ¨ÒéʹÓÃÄܹ»»ñµÃ×ã¹»ÄâºÏ¶ÈµÄ×î¼òµ¥Ä£ÐÍÀ´½øÐÐÄâºÏ£¬½¨ÒéÔÚÆÀ¹ÀÈκοÉÄܵÄÈ¨ÖØÖ®Ç°£¬Ê×ÏÈÑ¡Ôñ»Ø¹éÄ£ÐÍ¡£ÆÀ¹ÀÈ¨ÖØÄÜ·ñ¼õÇá²î±ðŨ¶ÈϲâÊÔÏìÓ¦²»µÈͬµÄ±äÒìÐÔÒ²ºÜÖØÒª¡£
±ðµÄ£¬»¹ÐèÒª¿¼ÂǵÄÒ»¸öÒªº¦²ÎÊýÊǿɱ¨¸æµÄ²âÊÔ½á¹ûµÄÖÊÁ¿£¬¶ÔËüµÄ¿¼ÂÇÓ¦¸ÃÓâÔ½¶ÔÄ£ÐÍÄâºÏÖÊÁ¿µÄ¿¼ÂÇ£¬²¢ÇÒ¿ÉÒÔͨ¹ý׼ȷ¶È½øÐÐÆÀ¹À¡£ÒòΪ׼ȷ¶ÈÌáÒª£¨Accuracy profile£©ÓÐÖúÓÚÖÖÖÖÄâºÏÄ£Ð͵ĿÉÊÓ»¯¡£±ØÐëÇ¿µ÷µÄÊÇ£¬Ä¿Ç°µÄÑо¿ÎÄÏײ»ÃãÀøÈçϲÙ×÷£º£¨1£©Ê¹ÓÃÏßÐÔº¯ÊýÀ´½üËÆSÐÎÇúÏߣ»£¨2£©¶ÔÊý¾Ý½øÐжÔÊý-¶ÔÊýת»»£¨log-log transformation£©À´Ê¹µÃ¹ÌÓеķÇÏßÐÔ¹ØÏµ½üËÆÓÚÏßÐÔ¡£
У׼ÇúÏß³£ÓõķÇÏßÐÔÄ£ÐÍÊÇ4PLºÍ5PL£¬¿ÉÒÔͨ¹ýÐí¶à×Ô¶¯»¯Èí¼þʵÏÖÄâºÏ¡£ËäÈ»¿ÉÒÔʹÓÃÆäËûµÄ·ÇÏßÐÔÄ£ÐÍ£¬µ«Ðë½÷É÷ÇÒÓ¦¶Ô4PLºÍ5PLÄ£ÐͲ»ÊÊÓõÄÌØÊâÇé¿ö¼ÓÒÔÖ¤Ã÷¡£
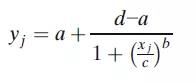
4PLÄ£ÐÍ×î³£¼ûµÄ²ÎÊý»¯ÐÎʽÊÇ£º

ÆäÖÐyjÊǶÔӦŨ¶ÈxjµÄÏìÓ¦£¬aΪÉϽ¥½üÏߣ¬dΪϽ¥½üÏߣ¬cΪÇúÏ߹յ㴦µÄŨ¶È£¬bΪÉú³¤Òò×Ó¡£¸ÃÄ£Ð͵ÄÒ»¸öÌØµãÊǹյãËÄÖܵĶԳÆÐÔ£¬¶ø¹Õµã¶ÔÓ¦ÓÚdºÍaÖ®¼ä¾àÀëµÄÒ»°ë¡£Õâ¸öÄ£ÐÍËäȻҲ¿ÉÓ¦Ó㬵«Ëüͨ³£±¬·¢µÄÊÇÒ»¸ö²î³Ø³ÆµÄУ׼ÇúÏߣ¬Òò¶øÐèҪʹÓÃ5PLÄ£ÐÍÄâºÏ¡£
5PLÄ£Ð͵ÄÒ»°ã²ÎÊý»¯ÐÎʽÊÇ£º

ÆäÖÐgÊÇ²î³Ø³ÆÒò×Ó¡£µ±g=1ʱ£¬5PLº¯ÊýÓë4PLº¯ÊýÍêÈ«µÈ¼Û¡£Í¼2˵Ã÷ÁË4PLºÍ5PLÇúÏßÖ®¼äµÄ²î±ð¡£

LBAУ׼ÇúÏßÄâºÏµÄÁíÒ»¸ö³£¼ûÌôÕ½ÊDzî±ðУ׼ÑùƷŨ¶ÈÏÂÏìÓ¦µÄ²»ÏàµÈ±äÒìÐÔ£¨unequal variability£©£¬¼´ÏìÓ¦µÄÔëÉù£¨variance£©Í¨³£²»ÊǺ㶨µÄ£¬¶øÊÇËæ×ÅÏìÓ¦¶ø±ä¸ï£¬ÕâÖÖÏÖÏó±»³ÆÎªÒì·½²îÐÔ£¨heteroscedasticity£©£¬¿ÉÒÔͨ¹ý¶ÔÄ£ÐͽøÐмÓȨ´¦Àí£¬Ê¹ÆäÓëŨ¶È¹æÄ£ÄÚÏìÓ¦µÄ¿É±äÐԳɱÈÀý¡£Èç¹ûÓ¦¶ÔÒì·½²îÐÔÇ¡µ±£¬Ð£×¼ÇúÏßÄâºÏµÄÖÊÁ¿Ôò¿ÉÒÔÌá¸ß¡£Ó¦¶ÔµÄ»ù±¾Ë¼ÏëÊÇÔÚÌåÏÖ³ö½Ï¸ß±äÒìµÄÏìÓ¦ÉϼõÉÙÆä"È¨ÖØ"¡£»»¾ä»°Ëµ£¬Ð£×¼ÇúÏßÓëµÍ±äÒìÊý¾Ý¸ü½ôÃܵØÄâºÏ£¬²¢ÔÊÐíÉÔ΢ƫÀë½Ï¸ß±äÒìµÄÊý¾Ý£¬ÒÔÕâÖÖ·½·¨¼ÓȨ¿É»ñµÃ¸ü¿í·ºµÄ¶¨Á¿¹æÄ££¬²¢ÔڸùæÄ£ÄÚÌá¸ß׼ȷ¶ÈºÍ¾«Ãܶȡ£Èç¹û²»Ê¹ÓÃÊʵ±µÄÈ¨ÖØ£¬½«»áµ¼ÖÂLLOQºÍULOQËÄÖܵIJåÖµÓиü´óµÄÆ«²î£¨bias£©ºÍ²»¾«Ãܶȣ¨imprecision£©¡£Êʵ±Ê¹ÓÃÈ¨ÖØ¿ÉÒÔ¼õÉÙÖØ¸´²âÊÔµÄÏìÓ¦ÖµÖеIJ»ÏàµÈ·½²î£¨unequal variance£©¡£
´ó´ó¶¼Èí¼þ¶¼¾ßÓÐÖ´ÐмÓȨ»Ø¹éËùÐèµÄ¹¦Ð§¡£Èí¼þͨ³£»áÑ¡Ôñ³£ÓõÄÈ¨ÖØ£¬Èç1/YºÍ1/Y2£¬²¢Í¨¹ýÆÀ¹ÀÏìÓ¦-Îó²î¹ØÏµ£¨response-error relation£©À´Ñ¡Ôñ×î¼ÑµÄÈ¨ÖØº¯Êý¡£1/YµÄÈ¨ÖØÔöÇ¿ÁËÇúÏߵײ¿µÄµã£¬1/Y2µÄÈ¨ÖØÔöÇ¿ÁËÇúÏß¶¥²¿ºÍµ×²¿µÄµã¡£ÁíÓÐÆäËûÈ¨ÖØÒò×ӺͼÓȨҪÁìҲͬÑù¿ÉÒÔʹÓ㬲¢¿ÉÄÜÄܹ»¸üºÃµØÂú×ãÌØ¶¨²âÊÔÒªÁìµÄÐèÇó¡£
ËäÈ»ÇúÏߵķǶԳÆÐÔºÍÒì·½²îÐÔ£¨heteroscedasticity£©ÊÇÇúÏßÄâºÏµÄÖØÒª¿¼ÂÇÒòËØ£¬µ«Èç¹ûûÓÐÊʵ±µÄÔ¤ÆÀ¹À£¬½«ËüÃǰüÀ¨ÔÚÄ£ÐÍÖпÉÄܻᵼÖÂÄâºÏÒ»¸ö¹ýÓÚÅÓ´óµÄÄ£ÐÍ¡£ÔÚУ׼ÇúÏßÖаüÀ¨·´Ó¦²âÊÔÒªÁì×ÔÈ»±ä¸ïµÄ²ÎÊý¿ÉÄܻᵼÖ»ØËãÎó²îºÍÔö¼ÓËù±¨¸æµÄ½á¹ûµÄÆ«²î£¨bias£©¡£
×ö»Ø¹éÆÊÎöʱ£¬ÓÐÐí¶à²î±ðµÄÒªÁì¿ÉÓÃÓÚͳ¼ÆÆÀ¹ÀÄ£ÐÍÄâºÏµÄÖÊÁ¿¡££¨°üÀ¨R2ºÍ¾ù·½Îó²î£¨root mean square error£©¡£µ«ÕâЩ²ÎÊý²¢·ÇÊÊÓÃÓÚËùÓÐÇé¿ö£¬ËüÃǵÄÉè¼ÆÄ¿µÄÊǽ«ÏìÓ¦µÄÎó²î×îС»¯£¬¶ø²»Êǽ«Ëù±¨¸æµÄ½á¹ûµÄÎó²î×îС»¯¡£±ðµÄ£¬Anscombe¡¯s quartet±êÃ÷£¬¸ß¶È²î±ðµÄÊý¾Ý¿ÉÒÔ»ñµÃÏàËÆµÄÄâºÏÖÊÁ¿£¬µ«²¢²»¿É°ü¹Ü·´ÏòÔ¤²âµÄÏàËÆ¡£×¼È·¶ÈÇúÏߣ¨accuracy profile£©ÊÇÒ»ÖÖ»ùÓÚδÀ´¿É±¨¸æ½á¹ûµÄÌæ´úÐÔͼÐÎÒªÁ죬Ëü½«¸÷Ũ¶ÈˮƽϲâÊÔËùµÃµÄ¿É±¨¸æ½á¹ûÓëÕæÊµÖµÖ®¼äÏà¶Ô²î±ðµÄb-ÆÚÍûÈݲîÇø¼ä£¨b-expectation tolerance interval£©ÁªÏµÆðÀ´¡£
b-ÆÚÍûÈݲîÇø¼ä±»½ç˵Ϊij¸ö±ÈÀý(b%)µÄδÀ´½á¹ûÔ¤ÆÚ»áϽµµÄÇø¼ä¡£¸Ã¹¤¾ß¿ÉÒԱ㵱µØ¿ÉÊÓ»¯Æ«²î¡¢¾«ÃܶȺͶ¨Á¿ÏÞ£¨limit of quantitation£¬LOQ/¶¨Á¿ÏÞ£¬ÔÚÕâÀï׼ȷ¶ÈÁè¼ÝÁ˿ɽÓÊܵĹæÄ££©£¬ÌṩÁËÒ»ÖÖ¿ÉÒÔÓÃÀ´±È½Ï¶à¸öÄ£Ð͵ļòµ¥ÒªÁ죬²¢±ãµ±´ÓÖÐÑ¡Ôñ¾«¶È×î¸ßµÄ¿É±¨¸æ½á¹ûµÄÄ£ÐÍ¡£
ͼ4¸ø³öÁËÁ½Ìõ²î±ðµÄУ׼ÇúÏß¼°Æä»ùÓÚ15%Ïà¶ÔÎó²îµÄÏà¹Ø×¼È·¶ÈÇúÏߣ¨RE£¬½ç˵ΪʵÑéÖµºÍÀíÂÛÖµÖ®¼äµÄ²îÖµÓëÀíÂÛÖµÖ®±È£©µÄ½ÓÊܼ«ÏÞ£¨acceptance limit£©¡£15%Ïà¶ÔÎó²îµÄ½ÓÊܼ«ÏÞÊÇÖ¸ÄÏÍÆ¼öµÄ¡£

ÖÁÉÙÓÐ75%µÄУ׼ÑùÆ·£¬°üÀ¨LLOQºÍULOQУ׼ÑùÆ·£¬°´»ØËãŨ¶È£¬±ØÐëͨ¹ý½ÓÊܱê×¼£º¼´¸Ã»ØËãŨ¶ÈÔÚÀíÂÛŨ¶ÈµÄ¡À20%(µÍ¶¨Á¿ÏÞΪ¡À25%)µÄ¹æÄ£ÄÚ£¬¶øCVsµÍÓÚ20%£¨ÔڵͶ¨Á¿ÏÞΪ<<>25%£©(Áí¼û±í1)¡£¹ØÓÚÿ¸öУ׼ÑùÆ·£¬Ó¦¸Ã±¨¸æ»ØËãŨ¶ÈµÄCVs£¬¶ø²»ÊÇÒÇÆ÷ÏìÓ¦µÄCVs¡£Ê×ÏÈ£¬Ó¦¸Ãƾ¾Ý¾«ÃܶÈÅųýУ׼ÑùÆ·¡£Ã¿´ÎÅųýºó£¬Ó¦ÖØÐ¶ÔÇúÏß½øÐлعéÆÊÎöºÍÆÀ¼Û¡£Æä´Î£¬Ó¦¸ÃÒ»´ÎÖ»ÅųýÒ»¸öУ׼ÑùÆ·£¬²¢ÇÒ°´Æ«²î¾ÞϸµÄ˳Ðò£¬´ÓÓµÓÐ×î¸ßÆ«²î£¨RE£©µÄУ׼ÑùÆ·¿ªÊ¼¡£ÁíÍ⣬ֻÓÐÔÚÐèҪʱ²ÅÅųýÆäËûУ׼ÑùÆ·¡£
ÆÁ±Î£¨masking£©±»½ç˵Ϊ£ºÔÚ±ê×¼ÇúÏ߻عéʱ²»Ê¹ÓÃij¸öУ׼µã£¬¶ø¸ÃУ׼µãµÄÊýÖµÈÔ±£´æÓÚϵͳÖС£ÔÚÌÖÂÛÇúÏß±à¼Ê±£¬ÆÁ±ÎºÍÅųý£¨exclusion£©ÕâÁ½¸öÊõÓï¿ÉÒÔ½»»»Ê¹Óá£Ã¿¸öAУ׼µãͨ³£ÊÇÔÚ΢¿×°åµÄÁ½¸ö¿×£¨¸´¿×£©ÖнøÐÐÖØ¸´£¨duplicate£©²âÊÔ¡£Èç¹ûÇúÏßÄâºÏÊÇ»ùÓÚ¸´¿×²âÊÔµÄÆ½¾ùÖµ£¬ÔòÖ»Óе±Á½¸ö¿×µÄ²âÊÔ½á¹û¶¼Âú×ã½ÓÊܱê׼ʱ£¬²Å»ª½ÓÊܸÃУ׼µã¡£ÔÚÕâÖÖÇé¿öÏ£¬²»½¨ÒéÅųýÒ»¸ö¿×µÄÊýÖµ£¬¶øÖ»Ê¹ÓÃÁíÒ»¸ö¿×µÄ½á¹û¡£ÔÚijЩÊÔÆ½Ì¨£¬ÈçSingulex£¬Ã¿¸öУ׼µã¿ÉÄܲâÊÔÈý´Î£¬ÔÚÕâÖÖÇé¿öÏ£¬Èý¸ö¿×ÖÐÖÁÉÙÓÐÁ½¸ö±ØÐëͨ¹ý£¬²Å»ª½ÓÊܸÃУ׼µã¡£
Èç¹ûLLOQºÍULOQУ׼µãµÄËùÓÐÖØ¸´²âÊÔ¶¼Ê§°Ü£¬ÄÇô¸ÃÑéÖ¤ÔËÐоÍʧ°ÜÁË£¬Ó¦¸ÃÊÓ²ìʧ°ÜµÄ¿ÉÄÜÔÒò£¨EMA 2012£©¡£±à¼Ð£×¼ÇúÏßÖ»ÄÜÔÚ¿ÉÒÔÈ·¶¨Ê§°ÜÔÒòµÄÇé¿öϽøÐУ¬ÀýÈ磺¼Í¼ÔÚ°¸µÄÍâ¼ÓÒ©ÎïÎó²î£¬»òÒÆÒºÆ÷Îó²î£¬»òʹÓÃÁËÏÈÑéµÄͳ¼Æ±ê×¼¡£Ð£×¼ÇúÏߵı༱ØÐë¶ÀÁ¢ÓÚQCµÄÆÀ¹À£¬ ÕâÒâζ×Å£¬²»¿ÉÅųýУ׼µãÒԱ㵱QCµÄͨ¹ý£¬³ý·Ç²»ÇкÏÓëУ׼ÑùÆ·Ïà¹ØµÄ½ÓÊܱê×¼¡£Ã¿¸öʵÑéÊÒ±ØÐëÔÚÆä±ê×¼²Ù×÷³ÌÐòÖнç˵ÈçºÎÆÁ±ÎºÍ±à¼Ð£×¼µã¡£
ÆÁ±ÎºÍÅųýУ׼ÑùÆ·µÄÒ»°ã×¼ÔòÈçÏÂ:
Ò»µ©²âÊÔÔËÐÐͨ¹ý£¬Ã¿¸öÑù±¾¶¼¿ÉÒÔÆ¾¾ÝУ׼ÇúÏß½øÐÐÆÀ¹À¡£Èç¹ûÒ»¸öδ֪Ñù±¾½á¹ûµÄCV%¿É½ÓÊÜ£¬²¢ÇÒÆ½¾ùŨ¶ÈÂäÔÚ¸ÃÒªÁìµÄ¶¨Á¿¹æÄ£ÄÚ£¬Ôò¸Ã½á¹û¿ÉÒÔ±»±¨¸æ¡£Èç¹ûÑù±¾µÄƽ¾ùŨ¶ÈÁè¼ÝÁ˶¨Á¿¹æÄ££¬ÔòÓ¦ÔÚÊʵ±µÄÏ¡ÊͺóÖØÐ²âÊÔ¸ÃÑù±¾£¬ÒÔ»ñµÃÔÚ¶¨Á¿¹æÄ£ÄڵĽá¹û¡£Èç¹ûÒ»¸ö²âÊÔ½á¹ûÔÚ¶¨Á¿¹æÄ£ÄÚ£¬¶øÁíÒ»¸ö¸´²â½á¹ûµÍÓÚLLOQ»ò¸ßÓÚULOQ£¬ÔòÓ¦¸Ã±¨¸æÆ½¾ùÖµ£¬Ç°ÌáÊÇÆ½¾ùÖµÔÚ¾¹ýÑéÖ¤µÄ¶¨Á¿¹æÄ£ÄÚ£¬ÇÒCV%ÊǿɽÓÊܵġ£Ñù±¾Å¨¶È½á¹ûÓ¦±¨¸æÎª100%µÄ»ùÖÊ£¬ÔÚ¿¼ÂÇÁ˲âÊÔÒªÁìµÄMRDºÍÈÎºÎÆäËüÏ¡Ê͵ı¶ÊýÖ®ºó¡£
ÕýÈçÔÚǰһ½ÚÖÐÌáµ½µÄ£¬Èç¹ûLLOQУ׼µãʧ°ÜÇÒ±ØÐë±»ÆÁ±Î£¬¶¨Á¿¹æÄ£¾Í½Ø¶Ïµ½ÏÂÒ»¸ö×îµÍµÄУ׼µã¡£ÔÚÕâÖÖÇé¿öÏ£¬LQCÈÔ±ØÐëÓɿɽÓÊܵÄУ׼ÑùÆ·°üÀ¨ÔÚÄÚ£¨bracketed£©£¬²»È»¼ì²âʧ°Ü¡£Èç¹ûÊÇULOQʧ°Ü£¬ÇúÏßµÄÉ϶ËÏòÏÂÒÆ¶¯µ½ÏÂÒ»¸ö¿É½ÓÊܵÄУ׼µã£¬ÇÒ±ØÐë°üÀ¨ÔڿɽÓÊܵÄУ׼ÑùÆ·ÄÚ£¬²»È»¼ì²âҲͬÑùʧ°Ü¡£Èç¹ûÑù±¾µÄ²â¶¨ÖµµÍÓÚLLOQ»ò¸ßÓÚULOQ£¬Ôò±ØÐëµ÷½âÑù±¾µÄÏ¡Êͱ¶Êý£¬ÔÙÖØÐÂÆÊÎö¸ÃÑùÆ·£¬Ê¹Æä²â¶¨ÖµÂäÔÚ¶¨Á¿¹æÄ£ÄÚ¡£
LBAУ׼ÇúÏß¿ÉÄÜÈÝÒ×ËæÊ±¼ä±¬·¢Ð£×¼Æ¯ÒÆ¡£Ð£×¼ÇúÏßÐÔÄܵį¯Òƽç˵ΪÓÉÓڲαȱê׼Ʒ¡¢ÆÊÎöÊÔ¼ÁºÍÆäËû²âÊÔ×é·ÖµÄ·´Ó¦ÐÔ»ò½áºÏÌØÐԵıä¸ï¶øµ¼ÖµÄÐ£×¼Æ«ÒÆ¡£ÕâÖÖ±ä¸ï¿ÉÄÜ»á¸Ä±äУ׼ÇúÏßµÄбÂÊ»òÆäËûÐÔÖÊ£¬×îÖÕµ¼ÖÂÑù±¾µÄŨ¶È±¨¸æÎª¹ý¸ß»ò¹ýµÍ¡£Í¬Ê±£¬¸ÃÒªÁìµÄ¶¨Á¿ÉÏÏÞºÍÏÂÏÞ£¬»òÑù±¾µÄÏ¡ÊÍÏßÐÔ£¬Ò²¿ÉÄܱ¬·¢±ä¸ï¡£
¿ÉÄܵ¼ÖÂУ׼ÇúÏßÐÔÄÜÆ¯ÒƵÄÒòËØ°üÀ¨µ«²»ÏÞÓÚ£º(a)ÐÂÅú´ÎµÄ»ìÏý»ùÖÊ£»(b)Òªº¦ÊÔ¼ÁÌØÐÔ£¨Èç´¿¶È¡¢ÌØÒìÐԺͲ¶»ñ»ò¼ì²â¿¹ÌåµÄ½áºÏÇ׺ÍÁ¦£©µÄ±ä¸ï£»(c)º¬ÓÐÂѰ×ÖÊ»òÖ¬ÖÊÌí¼Ó¼Á»òÔØÌåµÄ·ÇÒªº¦ÊÔ¼ÁµÄÐÔÄܱä¸ï£»ÒÔ¼°(d)¶Ô²Î±È±ê׼ƷÅä·½µÄÐ޸ġ£Ó¦ÔÚÒªÁ쿪·¢µÄÔçÆÚ¾Í¿ªÊ¼¼à²âУ׼ÇúÏßµÄÐÔÄÜ£¬²¢ÔÚÑо¿Ç°ÑéÖ¤ºÍÑùÌìÖ°Îö½×¶Î¼ÌÐø½øÐС£±ðµÄ£¬ÔÚ¶à¸öÁÙ´²Ñо¿µÄʱ¼ä¿ç¶ÈÉÏ£¬¸ú×ÙÐ£×¼Æ¯ÒÆÊÇÖÁ¹ØÖØÒªµÄ¡£¿ÉÊÇ£¬Ä¿Ç°»¹Ã»ÓÐÓÃÓÚ¼à²âУ׼ÇúÏßÐÔÄܵĹ²Ê¶»òÒѾ½¨Á¢µÄÒªÁì¡£
¼à²âУ׼ÇúÏ߯¯ÒƵĽ¨Òé°üÀ¨:
Ö¼ÔÚÈ·¶¨Ò©ÎïŨ¶ÈÒÔÖ§³ÖÒ©´ú¶¯Á¦Ñ§Ñо¿µÄ£¬¸ßÖÊÁ¿ºÍ¿É¿¿µÄÅäÌå½áºÏ²âÊÔÒªÁ죨LBA£©ÔÚÉúÎïÒ©µÄ¿ª·¢Àú³ÌÖÐÆð×ÅÖÁ¹ØÖØÒªµÄ×÷Óá£Ôڵ䷶µÄLBAÒªÁìÖУ¬Ê¹ÓÃУ׼ÇúÏßͨ¹ýÄÚ²åÖµ£¨interpolate£©²â¶¨ÖÊÁ¿¿ØÖÆÑùÆ·ºÍδ֪ÑùÆ·ÖеÄÒ©ÎïŨ¶È¡£¶Ô´ó´ó¶¼LBAÒªÁ죬Ԥ¼Æ²âÊÔÐźÅÓëÒ©ÎïŨ¶ÈµÄ¹ØÏµÊÇ·ÇÏßÐԵġ£Òò´Ë£¬½¨ÒéÓ¦Óöà²ÎÊý£¬Í¨³£Îª4»ò5²ÎÊýLogistic regression (4PL»ò5PL)µÄÊýѧҪÁ죬ÔÚ¶¨Á¿¹æÄ£ÄÚ£¬ÄâºÏÖÁÉÙ6¸öУ׼ÑùÆ·µÄÊý¾ÝµãÒÔ»ñµÃУ׼ÇúÏß¡£¿É¿¼ÂÇʹÓÃÆäËûУ׼ÑùÆ·£¨°üÀ¨Áãµã»òÆäËû궨µã£©À´Ìá¸ßÇúÏßÄâºÏµÄÖÊÁ¿¡£
Ӧƾ¾ÝÃé׼ȷ¶ÈÇúÏߣ¨accuracy profile£©µÄÆÊÎö£¬Ñ¡Ôñ×îÊʵ±ºÍ×î¼òµ¥µÄ»Ø¹éÄ£ÐÍ£¨¿ÉÄÜÓ¦ÓüÓȨÒò×Ó£¬weighting factor£©µÄÏà¹Ø»Ø¹éÆÊÎöµÄÈí¼þ£¬×÷ΪʵÑéÊÒÐÅÏ¢ÖÎÀíϵͳµÄÒ»²¿·Ö£¬»ò×÷ΪÒÇÆ÷Êý¾ÝÆÊÎö°üµÄÒ»²¿·Ö£¬»ò×÷Ϊ¶ÀÁ¢Èí¼þ°ü¶¼¿ÉÒÔÌṩÕâÑùµÄÊý¾ÝÆÊÎö¡£Ð£×¼ÇúÏßµÄÖÊÁ¿ÒÔ¼°×îÖÕ²âÊÔ½á¹ûµÄÖÊÁ¿¸ß¶ÈµØÒÀÀµÓÚУ׼ÑùÆ·µÄÖÆ±¸Àú³Ì¡¢ËùʹÓõÄÑù±¾»ùÖʵÄÀàÐÍÒÔ¼°Ð£×¼ÑùÆ·µÄÖü´æÌõ¼þ¡£FDA¡¢EMA¡¢MHLWºÍANVISAÐû²¼µÄ»ú¹¹Ö¸ÄÏÔÚ²î±ðˮƽÉÏÌÖÂÛÁËУ׼ÇúÏß²ÎÊý¼°ÆäÐÔÄÜÒªÇ󣬯äÖÐÐí¶àÒªÇóÊÇÏ໥һֵ쬵«Ò²±£´æÒ»Ð©²î±ð¡£
±¾ÎÄÖ¼ÔÚÃèÊö½øÐлعéÄ£ÐÍÑ¡Ôñ¡¢Ð£×¼ÇúÏßÉè¼ÆºÍÊý¾ÝÆÊÎöµÄÒªÁ죬Ö÷ҪĿµÄÊÇ×ÊÖú¶ÁÕß¿ª·¢¸ßÖÊÁ¿µÄÉúÎïÒ©¶¨Á¿ÆÊÎöÒªÁ죬ÒÔÖ§³Ö·ÇÁÙ´²ºÍÁÙ´²Ò©´ú¶¯Á¦Ñ§Ñо¿¡£ÎÄÖл¨Á˽ϴóµÄº²Ä«ÏêϸÌÖÂÛµÄÒ»¸öÖØÒªÄÚÈÝÊÇÓë±à¼Ð£×¼ÇúÏߵĹ淶ºÍÊʵ±¹æÔòÓйء£Í¬Ê±ÌṩÁ˹ØÓÚ±à¼Ð£×¼ÇúÏߵĽ¨Ò飬ÕâЩ½¨Òé×ñÑ¿ÆÑ§ÉϽ¡È«£¬Í¬Ê±Ò²ÇкÏÐÐÒµÀÏÀýµÄÔÔò¡£ËäÈ»£¬ÆäËûÒªÁìÒ²¿ÉÒÔ£¬Èç¹ûÆä¿ÆÑ§ÐÔºÍÊÊÓÃÐÔ±»Ö¤Ã÷ÊÇ¿ÉÒÔ½ÓÊܵġ£
±¾ÎÄÈçÓÐÊ詺ÍÎó¶ÁÏà¹ØÖ¸ÄϺÍÊý¾ÝµÄµØ·½£¬Çë¶ÁÕ߯ÀÂÛºÍÖ¸Õý¡£ËùÓÐÒýÓõÄÔʼÐÅÏ¢ºÍ×ÊÁϾùÀ´×ÔÒѾÐû²¼Ñ§ÊõÆÚ¿¯¡¢¹Ù·½ÍøÂ籨µÀµÈ¹ûÕæÇþµÀ, ²»Éæ¼°Èκα£ÃÜÐÅÏ¢¡£²Î¿¼ÎÄÏ×µÄÑ¡Ôñ¿¼Âǵ½¶àÑù»¯µ«Ò²²»¿ÉÄÜÍ걸¡£½Ó´ý¶ÁÕßÌṩÓмÛÖµµÄÎÄÏ×¼°ÆäÆÀ¹À¡£


19.U.S. Food and Drug Administration, Title 21 of the U.S. Code of Federal Regulations: 21 CFR 11 ¡°Electronic Records; Electronic Signatures¡±, Aug 2003.https://www.accessdata.fda.gov/scripts/cdrh/cfdocs/cfCFR/CFRSearch.cfm.

ÔÁ¹«Íø°²±¸ 44011202001884ºÅ

ÔÁ¹«Íø°²±¸ 44011202001884ºÅ